| 查看: 1484 | 回复: 9 | |||
zsw4882535银虫 (小有名气)
|
[求助]
关于DSC图的一点疑问。
|
|
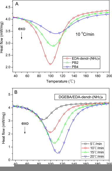
这是我在文献里面看到的DSC曲线,我很奇怪啦! 按照高分子物理对不DSC原理的解释,纵坐标是热流率的差值,在样品放热的情况下,其纵坐标对应的值应该是负值才对啊,为什么这里整个放热过程中纵坐标都是正值呢? 请高手解释! untitled.png |
» 猜你喜欢
材料学硕297已过四六级求调剂推荐
已经有9人回复
一志愿西南交通 专硕 材料355 本科双非 求调剂
已经有5人回复
316求调剂
已经有4人回复
一志愿武汉理工材料工程专硕调剂
已经有8人回复
329求调剂
已经有8人回复
350求调剂
已经有4人回复
材料与化工 322求调剂
已经有3人回复
一志愿武理材料工程348求调剂
已经有4人回复
265求调剂
已经有13人回复
290求调剂
已经有5人回复
» 本主题相关商家推荐: (我也要在这里推广)
» 本主题相关价值贴推荐,对您同样有帮助:
麻烦各位大侠帮忙给看一下我的DSC图
已经有18人回复
我的DSC图没有熔融峰?
已经有15人回复
水性聚氨酯胶膜DSC曲线图,求解析!
已经有12人回复
关于DSC测树脂固化的问题,每次测试树脂都从坩埚中溢出....求解决办法啊
已经有24人回复
求助,DSC数据图分析
已经有17人回复
DSC热分析图谱分析
已经有14人回复
关于PE DSC测试的问题
已经有13人回复
请看一下DSC图中的玻璃转化温度
已经有25人回复
求助~PLLA/PEA共混物的DSC图像问题
已经有4人回复
【求助】菜鸟请教大虾关于DSC的几个问题
已经有12人回复
【求助】DSC图谱分析
已经有19人回复
【求助】铝基非晶DSC图
已经有9人回复

红舟流星
荣誉版主 (文坛精英)
志在成为千元户!
- PEPI: 2
- 应助: 304 (大学生)
- 贵宾: 24.278
- 金币: 2630
- 散金: 55784
- 红花: 208
- 沙发: 719
- 帖子: 19854
- 在线: 2621小时
- 虫号: 1304427
- 注册: 2011-05-24
- 性别: GG
- 专业: 仿生材料
- 管辖: 材料综合

2楼2012-09-07 11:12:25
qsywp
专家顾问 (著名写手)
-

专家经验: +239 - 应助: 541 (博士)
- 贵宾: 0.008
- 金币: 15523.6
- 红花: 30
- 帖子: 2507
- 在线: 609.1小时
- 虫号: 88010
- 注册: 2005-08-22
- 专业: 高分子科学
- 管辖: 复合材料
3楼2012-09-07 15:06:58
zsw4882535
银虫 (小有名气)
- 应助: 2 (幼儿园)
- 金币: 31.7
- 散金: 72
- 红花: 1
- 帖子: 148
- 在线: 83.2小时
- 虫号: 889794
- 注册: 2009-10-31
- 性别: GG
- 专业: 高分子材料与环境

4楼2012-09-07 15:37:52
zsw4882535
银虫 (小有名气)
- 应助: 2 (幼儿园)
- 金币: 31.7
- 散金: 72
- 红花: 1
- 帖子: 148
- 在线: 83.2小时
- 虫号: 889794
- 注册: 2009-10-31
- 性别: GG
- 专业: 高分子材料与环境

5楼2012-09-07 15:55:39
Pureland
木虫之王 (知名作家)
- PEPI: 67
- 应助: 1516 (讲师)
- 贵宾: 0.015
- 金币: 135563
- 散金: 3502
- 红花: 723
- 帖子: 6479
- 在线: 2896.4小时
- 虫号: 693216
- 注册: 2009-01-16
- 专业: 应用高分子化学与物理
6楼2012-09-07 19:47:54
红舟流星
荣誉版主 (文坛精英)
志在成为千元户!
- PEPI: 2
- 应助: 304 (大学生)
- 贵宾: 24.278
- 金币: 2630
- 散金: 55784
- 红花: 208
- 沙发: 719
- 帖子: 19854
- 在线: 2621小时
- 虫号: 1304427
- 注册: 2011-05-24
- 性别: GG
- 专业: 仿生材料
- 管辖: 材料综合

7楼2012-09-08 00:03:57
yjthdce03
铁虫 (小有名气)
- 应助: 2 (幼儿园)
- 金币: 2547.1
- 帖子: 176
- 在线: 133小时
- 虫号: 1945059
- 注册: 2012-08-18
- 性别: GG
- 专业: 生物医用高分子材料

8楼2012-09-09 23:46:28
陈宇良
金虫 (正式写手)
- 应助: 16 (小学生)
- 金币: 1198.4
- 散金: 34
- 红花: 5
- 帖子: 499
- 在线: 129.1小时
- 虫号: 1255846
- 注册: 2011-04-05
- 性别: GG
- 专业: 无机非金属类光电信息与功
9楼2012-09-11 21:01:38
匿名
用户注销 (小有名气)
- 应助: 43 (小学生)
- 金币: 1101.9
- 散金: 325
- 红花: 3
- 帖子: 172
- 在线: 41.3小时
- 虫号: 0
- 注册: 2011-05-14
- 性别: GG
- 专业: 高分子合成化学
10楼2013-05-01 11:12:39













回复此楼

10