| ²é¿´: 1695 | »Ø¸´: 5 | ||
SukhoiÌú³æ (СÓÐÃûÆø)
|
[ÇóÖú]
С°×ÇóÖú×ÔÊÊÓ¦¿ØÖÆÖÐͶӰËã×ÓµÄMATLABʵÏÖ·½·¨
|
|
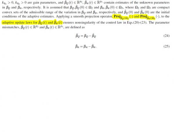
ÔõÑù²ÅÄÜÔÚMATLABÖÐʵÏÖͼÖÐËùʾµÄ×ÔÊÊӦͶӰËã×ÓÀ´µÃµ½¹À¼ÆÖµµÄ¸üÐÂÂÊÄØ£¿ ÁíÍâ˸ø½éÉܼ¸±¾×ÔÊÊÓ¦·´²½¿ØÖƵĽ̲Ļò²Î¿¼ÎÄÏ×°¡£¿Ð»Ð»ÁË¡£ ÎÞ±êÌâ.jpg |
» ²ÂÄãϲ»¶
277Çóµ÷¼Á ÊýÒ»104·Ö
ÒѾÓÐ7È˻ظ´
288»·¾³×¨Ë¶,Çóµ÷²ÄÁÏ·½Ïò
ÒѾÓÐ16È˻ظ´
277¹¤¿ÆÇóµ÷¼Á
ÒѾÓÐ8È˻ظ´
266Çóµ÷¼Á
ÒѾÓÐ19È˻ظ´
»·¾³×¨Ë¶µ÷¼Á
ÒѾÓÐ3È˻ظ´
081200-11408-276ѧ˶Çóµ÷¼Á
ÒѾÓÐ5È˻ظ´
²ÄÁϵ÷¼Á
ÒѾÓÐ13È˻ظ´
¹¤¿Æ 22408 267ÇóÍÆ¼ö
ÒѾÓÐ4È˻ظ´
305Çóµ÷¼Á
ÒѾÓÐ3È˻ظ´
270·ÖÇóµ÷¼Á
ÒѾÓÐ5È˻ظ´
Sukhoi
Ìú³æ (СÓÐÃûÆø)
- Ó¦Öú: 1 (Ó×¶ùÔ°)
- ½ð±Ò: 71.1
- É¢½ð: 5
- Ìû×Ó: 51
- ÔÚÏß: 13.3Сʱ
- ³æºÅ: 1912661
- ×¢²á: 2012-07-27
- ÐÔ±ð: GG
- רҵ: µ¼º½¡¢ÖƵ¼Óë´«¸Ð¼¼Êõ
2Â¥2012-09-03 22:24:08
Richard_lieu
Òø³æ (СÓÐÃûÆø)
- Ó¦Öú: 13 (СѧÉú)
- ½ð±Ò: 213.1
- ºì»¨: 2
- Ìû×Ó: 107
- ÔÚÏß: 55.1Сʱ
- ³æºÅ: 1426625
- ×¢²á: 2011-10-03
- ÐÔ±ð: GG
- רҵ: »úÆ÷ÈËѧ¼°»úÆ÷È˼¼Êõ
3Â¥2012-09-03 23:29:48
Richard_lieu
Òø³æ (СÓÐÃûÆø)
- Ó¦Öú: 13 (СѧÉú)
- ½ð±Ò: 213.1
- ºì»¨: 2
- Ìû×Ó: 107
- ÔÚÏß: 55.1Сʱ
- ³æºÅ: 1426625
- ×¢²á: 2011-10-03
- ÐÔ±ð: GG
- רҵ: »úÆ÷ÈËѧ¼°»úÆ÷È˼¼Êõ
4Â¥2012-09-03 23:32:16
Sukhoi
Ìú³æ (СÓÐÃûÆø)
- Ó¦Öú: 1 (Ó×¶ùÔ°)
- ½ð±Ò: 71.1
- É¢½ð: 5
- Ìû×Ó: 51
- ÔÚÏß: 13.3Сʱ
- ³æºÅ: 1912661
- ×¢²á: 2012-07-27
- ÐÔ±ð: GG
- רҵ: µ¼º½¡¢ÖƵ¼Óë´«¸Ð¼¼Êõ
5Â¥2012-09-04 09:59:37
Sukhoi
Ìú³æ (СÓÐÃûÆø)
- Ó¦Öú: 1 (Ó×¶ùÔ°)
- ½ð±Ò: 71.1
- É¢½ð: 5
- Ìû×Ó: 51
- ÔÚÏß: 13.3Сʱ
- ³æºÅ: 1912661
- ×¢²á: 2012-07-27
- ÐÔ±ð: GG
- רҵ: µ¼º½¡¢ÖƵ¼Óë´«¸Ð¼¼Êõ
6Â¥2012-09-04 10:04:11














»Ø¸´´ËÂ¥