版块导航
正在加载中...
客户端APP下载
论文辅导
申博辅导
登录
注册
帖子
帖子
用户
本版
应《网络安全法》要求,自2017年10月1日起,未进行实名认证将不得使用互联网跟帖服务。为保障您的帐号能够正常使用,请尽快对帐号进行手机号验证,感谢您的理解与支持!
24小时热门版块排行榜
>
论坛更新日志
(517)
>
虫友互识
(45)
>
休闲灌水
(29)
>
导师招生
(18)
>
硕博家园
(9)
>
考研
(9)
>
论文投稿
(9)
>
教师之家
(5)
>
考博
(5)
>
公派出国
(5)
>
招聘信息布告栏
(4)
>
博后之家
(4)
>
留学生活
(4)
>
基金申请
(3)
>
功能材料
(2)
>
论文道贺祈福
(2)
小木虫论坛-学术科研互动平台
»
化学化工区
»
分析
»
其他分析
»
大家帮忙看一下这个TGA曲线什么意思?
5
1/1
返回列表
查看: 2016 | 回复: 4
只看楼主
@他人
存档
新回复提醒
(忽略)
收藏
在APP中查看
dxc810711
铁杆木虫
(正式写手)
应助: 0
(幼儿园)
金币: 5891
帖子: 660
在线: 305.3小时
虫号: 371536
注册: 2007-05-14
性别: GG
专业: 凝聚态物性 II :电子结构
[
求助
]
大家帮忙看一下这个TGA曲线什么意思?
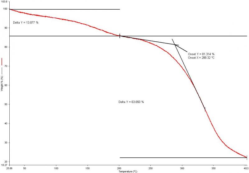
大家好,我们刚刚做了一个TGA测试,但是不知道怎么看,请大家帮忙分析一下,谢谢!
TGA
回复此楼
» 猜你喜欢
请问有评职称,把科研教学业绩算分排序的高校吗
已经有6人回复
2025冷门绝学什么时候出结果
已经有6人回复
Bioresource Technology期刊,第一次返修的时候被退回好几次了
已经有7人回复
真诚求助:手里的省社科项目结项要求主持人一篇中文核心,有什么渠道能发核心吗
已经有8人回复
寻求一种能扛住强氧化性腐蚀性的容器密封件
已经有5人回复
请问哪里可以有青B申请的本子可以借鉴一下。
已经有4人回复
请问下大家为什么这个铃木偶联几乎不反应呢
已经有5人回复
天津工业大学郑柳春团队欢迎化学化工、高分子化学或有机合成方向的博士生和硕士生加入
已经有4人回复
康复大学泰山学者周祺惠团队招收博士研究生
已经有6人回复
AI论文写作工具:是科研加速器还是学术作弊器?
已经有3人回复
» 本主题相关价值贴推荐,对您同样有帮助:
各位大侠,帮忙看一下这个氧化铝的吸附解吸曲线滞后环是什么型的啊,孔型咋样啊~~谢谢
已经有12人回复
大家看一下这个DSC曲线,与SiO2玻璃有什么区别?
已经有6人回复
请大家帮忙看一下这个阻抗谱的等效电路是什么?
已经有4人回复
大家帮忙看一下,这样的回复是什么意思呢?
已经有16人回复
TGA曲线为什么一直下降?
已经有30人回复
意见返回,麻烦大家帮忙看看这是什么意思,还有希望吗
已经有9人回复
求大家帮忙分析下这个CV曲线吧
已经有10人回复
帮忙看一下编辑是什么意思(Materials Research Bulletin)
已经有12人回复
帮忙看一下这句英文的意思
已经有5人回复
【求助】TGA测试曲线毛刺
已经有5人回复
帮忙看一下,这句话什么意思呀
已经有8人回复
【求助】关于origin中作TGA曲线的问题
已经有9人回复
【讨论】大家来看一下这句话什么意思
已经有18人回复
1楼
2012-08-24 11:48:10
已阅
回复此楼
关注TA
给TA发消息
送TA红花
TA的回帖
wddmq
木虫
(正式写手)
ACI: 1
应助: 351
(硕士)
贵宾: 0.035
金币: 2348
红花: 6
帖子: 739
在线: 188.3小时
虫号: 1339722
注册: 2011-07-07
专业: 药物分析
【答案】应助回帖
★ ★ ★ ★ ★
感谢参与,应助指数 +1
soundhorizo: 金币+2, 专家辛苦 ^^
2012-08-24 17:08:37
dxc810711: 金币+3,
★★★
很有帮助
2012-08-25 11:36:39
本人也是初学,随便说几句:出现两次失重现象,第一次约在130度,失重13.866%,第二次失重是在288度,失重为63.650%。说明你测得这个东西发生了两次分解失重。说的很浅
赞
一下
回复此楼
1234
2楼
2012-08-24 14:41:34
已阅
回复此楼
关注TA
给TA发消息
送TA红花
TA的回帖
xx小小xx
木虫
(著名写手)
ACI: 3
应助: 348
(大学生)
金币: 4243.8
散金: 337
红花: 44
帖子: 1388
在线: 267小时
虫号: 277290
注册: 2006-09-09
性别: GG
专业: 色谱分析
【答案】应助回帖
★ ★ ★ ★ ★ ★
感谢参与,应助指数 +1
soundhorizo: 金币+2, 感谢应助 欢迎常来分析版 ^^
2012-08-24 17:08:47
dxc810711: 金币+4,
★★★
很有帮助
2012-08-25 11:36:50
你做个微分处理看一下
我估计是分三段的,微分后应该是3个峰,第一个肯定是吸附水,第二个可能是结晶水,第三个肯定是分解了
这个得结合分子式和其他测试看的,光看图只能是猜测
赞
一下
回复此楼
3楼
2012-08-24 15:31:21
已阅
回复此楼
关注TA
给TA发消息
送TA红花
TA的回帖
dengxinnuo
铁虫
(初入文坛)
应助: 0
(幼儿园)
金币: 38.9
帖子: 5
在线: 12.5小时
虫号: 935313
注册: 2009-12-30
专业: 有色金属冶金
【答案】应助回帖
★ ★ ★
dxc810711: 金币+3
2012-11-14 13:04:29
做个DTG就会很清楚了
赞
一下
回复此楼
4楼
2012-11-13 17:16:39
已阅
回复此楼
关注TA
给TA发消息
送TA红花
TA的回帖
xufei2280
铜虫
(小有名气)
应助: 1
(幼儿园)
金币: 136.4
帖子: 81
在线: 4.6小时
虫号: 746125
注册: 2009-04-11
性别: GG
专业: 光谱分析
【答案】应助回帖
转化为DTG,就明白了。还有你不说样品怎么知道你的样品的热性质是什么。。。。。
赞
一下
回复此楼
生活之树长青
5楼
2012-11-13 19:35:28
已阅
回复此楼
关注TA
给TA发消息
送TA红花
TA的回帖
相关版块跳转
有机交流
有机资源
高分子
无机/物化
分析
催化
工艺技术
化工设备
石油化工
精细化工
电化学
环境
SciFinder/Reaxys
我要订阅楼主
dxc810711
的主题更新
5
1/1
返回列表
如果回帖内容含有宣传信息,请如实选中。否则帐号将被全论坛禁言
普通表情
龙
兔
虎
猫
百度网盘
|
360云盘
|
千易网盘
|
华为网盘
在新窗口页面中打开自己喜欢的网盘网站,将文件上传后,然后将下载链接复制到帖子内容中就可以了。
信息提示
关闭
请填处理意见
关闭
确定