| ²é¿´: 810 | »Ø¸´: 2 | ||
llllllllllllгæ (³õÈëÎÄ̳)
|
[ÇóÖú]
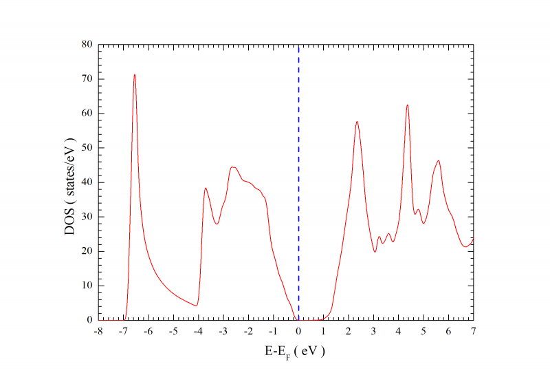
¼±ÇóGaAsµÄÄÜ̬ÃܶÈͼÆ× лл £¡
|
| ±¾ÈËÓøտªÊ¼ÓÃvasp ¼ÆËãÁËGaAsµÄÄÜ̬ÃÜ¶È ÏÖ¼±Çó±ê×¼Æ×ÓëÖ®¶ÔÓ¦ лÀ²£¡ |
» ²ÂÄãϲ»¶
297Çóµ÷¼Á
ÒѾÓÐ12È˻ظ´
26µ÷¼Á 086003
ÒѾÓÐ3È˻ظ´
265Çóµ÷¼Á
ÒѾÓÐ20È˻ظ´
271·ÖÇóµ÷¼ÁѧУ
ÒѾÓÐ11È˻ظ´
320·ÖÈ˹¤ÖÇÄܵ÷¼Á
ÒѾÓÐ6È˻ظ´
Çóµ÷¼Á£¬Ò»Ö¾Ô¸ÄϾ©º½¿Õº½Ìì´óѧ £¬080500²ÄÁÏ¿ÆÑ§Ó빤³Ìѧ˶
ÒѾÓÐ8È˻ظ´
280Çóµ÷¼Á
ÒѾÓÐ19È˻ظ´
Çó²ÄÁϵ÷¼Á£¬Ò»Ö¾Ô¸Ö£ÖÝ´óѧ289·Ö
ÒѾÓÐ15È˻ظ´
26¿¼Ñе÷¼Á0710 0860
ÒѾÓÐ6È˻ظ´
282Çóµ÷¼Á
ÒѾÓÐ22È˻ظ´
» ±¾Ö÷ÌâÏà¹Ø¼ÛÖµÌùÍÆ¼ö£¬¶ÔÄúͬÑùÓаïÖú:
VASP ¼ÆËãDOS£¬Ì¬ÃܶÈÖзÑÃ×ÄܵÄ×÷ÓÃ
ÒѾÓÐ3È˻ظ´
abinitÄÜ·ñ´¦ÀíÒ»¸öλÖñ»Á½ÖÖÔªËØÕ¼¾ÝµÄ¹ÌÈÜÌåµÄÄÜ´øºÍ̬ÃܶÈ
ÒѾÓÐ10È˻ظ´
¡¾ÇóÖú¡¿¹ØÓÚMSÈí¼þÖÐÄÜ´øºÍ̬ÃܶȵļÆËãÎÊÌâ
ÒѾÓÐ8È˻ظ´
¡¾ÇóÖú¡¿Ì¬ÃܶÈͼºáÖá×ø±êÄÜÁ¿·¶Î§ÈçºÎÉ趨
ÒѾÓÐ5È˻ظ´
¡¾ÇóÖú¡¿CASTEPÖзÖÎö̬ÃܶÈ
ÒѾÓÐ7È˻ظ´
¡¾ÇóÖú¡¿ÇóVASP¼ÆËãZnOÄÜ´øºÍ̬ÃܶȵÄÏêϸÊäÈëÉèÖÃ
ÒѾÓÐ15È˻ظ´
¡¾ÇóÖú¡¿°ëµ¼Ìå̬Ãܶȴ©¹ýfermiÄܼ¶£¬£¿
ÒѾÓÐ14È˻ظ´
µç×ӽṹºÍ̬ÃܶÈÒÔ¼°ÄÜ´øÖ®¼äÓÐʲô¹ØÏµ?
ÒѾÓÐ6È˻ظ´
DFPT
½ð³æ (СÓÐÃûÆø)
- Ó¦Öú: 37 (СѧÉú)
- ½ð±Ò: 834.1
- ºì»¨: 6
- Ìû×Ó: 153
- ÔÚÏß: 92.6Сʱ
- ³æºÅ: 1758999
- ×¢²á: 2012-04-16
- רҵ: ²£Á§²ÄÁÏ
¡¾´ð°¸¡¿Ó¦Öú»ØÌû
¡ï ¡ï ¡ï ¡ï ¡ï
¸Ðл²ÎÓ룬ӦÖúÖ¸Êý +1
llllllllllll: ½ð±Ò+5, ¡ï¡ï¡ïºÜÓаïÖú, лл 2012-08-21 14:45:31
¸Ðл²ÎÓ룬ӦÖúÖ¸Êý +1
llllllllllll: ½ð±Ò+5, ¡ï¡ï¡ïºÜÓаïÖú, лл 2012-08-21 14:45:31
|
ʹÓÃFP-LAPW¼ÆËãµÄ£¬PBEsol·ºº¯£¬¿ÉÒÔÓÃÀ´¶Ô±ÈPAWØÍÊÆ¼ÆËãµÃµ½µÄ½á¹û¡£Ã»ÓÐʹÓÃDFT+U£¬HYBRID£¬GW»òÕß¼ôµ¶Ëã·û½ÃÕý¡£Ë³±ã¸½ÉÏOriginµÄÔʼͼƬÎļþ¡£ ¸ü¶àµÄGaAsÐÅÏ¢¿ÉÒÔ¶ÈÄï»ò¹È¸ç¡£ ÏÂÔØÍ¼Æ¬ÔʼÎļþ£ºhttp://kuai.xunlei.com/d/GEQAAYFQDSOM?p=130497 |

2Â¥2012-08-21 14:27:16
llllllllllll
гæ (³õÈëÎÄ̳)
- Ó¦Öú: 0 (Ó×¶ùÔ°)
- ½ð±Ò: 0.9
- É¢½ð: 26
- Ìû×Ó: 25
- ÔÚÏß: 14.7Сʱ
- ³æºÅ: 1759570
- ×¢²á: 2012-04-16
- רҵ: ¶¯Á¦Ñ§Óë¿ØÖÆ
3Â¥2012-08-21 14:46:13














»Ø¸´´ËÂ¥