| 查看: 422 | 回复: 1 | ||
[求助]
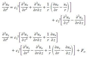
求有限差分格式
|
||
|
|
||
|
★
感谢参与,应助指数 +1 csgt0: 金币+1, 多谢应助 2012-08-21 11:43:15
|
||
|
2楼2012-08-21 11:13:25
|
|













回复此楼