| 查看: 2606 | 回复: 8 | ||
zgzykxyygp铜虫 (正式写手)
|
[求助]
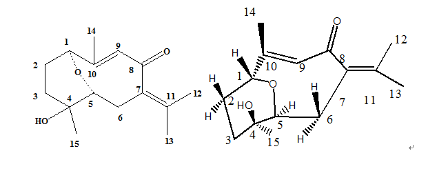
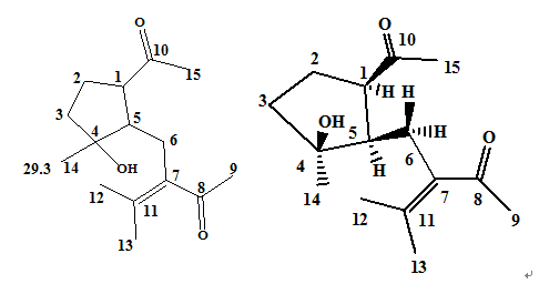
两个化合物的绝对够构型确定(附相对构型和CD图)
|
|
化合物1,2,和信息如下: 现在问题: 1。再用八曲律向观众知识判断时,不知如何放置于八区中?(刚学,还没搞懂),若用经验规律确定,sci承认吗? 2.若用相关化合物对比确定,到底怎么才叫相似呢,怎么去选化合物呢?请高手指点!顺便帮我推荐先关书籍和文献了,非常感谢 谢谢! 化合物1相对构型 化合物1CD 化合物2相对构型 化合物2CD |
» 猜你喜欢
0703化学调剂,求各位老师收留
已经有8人回复
070303一志愿西北大学学硕310找调剂
已经有8人回复
085600材料与化工 求调剂
已经有14人回复
本人考085602 化学工程 专硕
已经有13人回复
材料与化工求调剂
已经有3人回复
283求调剂
已经有13人回复
312求调剂
已经有4人回复
285求调剂
已经有6人回复
材料与化工专硕调剂
已经有3人回复
0703化学调剂 ,六级已过,有科研经历
已经有6人回复
» 本主题相关价值贴推荐,对您同样有帮助:
帮忙找几篇关于手性醇类化合物构型翻转的英文综述类文献
已经有4人回复
平面结构被发表,但构型新的化合物算不算新化合物
已经有44人回复
求助用CD谱解析一个木脂素类化合物的绝对构型
已经有7人回复
甾族化合物的5位氢的α构型和β构型之间属于什么异构体?
已经有5人回复
急 问下我的化合物通过什么方法可以确定绝对构型
已经有8人回复
Mo2(OAc)4试剂在邻二醇类结构绝对构型确定中的应用
已经有40人回复
关于HMBC谱可否判断双键化合物的Z/E构型
已经有8人回复
如何确定核苷化合物的α和β构型?
已经有8人回复
请问谁知道如何确定含有两个手性中心的化合物的RS构型?
已经有6人回复
手性化合物绝对构型的确定方法?
已经有7人回复
DBU使手性化合物构型发生反转的机理
已经有7人回复
请教个手性的问题
已经有23人回复
【求助】槲皮素和橡黄素是同一个化合物吧!看结构式是一样的啊!是构型差异吗?
已经有6人回复
【讨论】含溴手性化合物单晶衍射一定能确定绝对构型吗
已经有5人回复
【讨论】如果是一个手性化合物,能够通过二维核磁确定绝对构型吗?
已经有20人回复
【求助】请问用什么软件模拟一个化合物并能优化构型计算出分子大小
已经有6人回复

xyz7819227
木虫 (正式写手)
- 应助: 175 (高中生)
- 金币: 3503.5
- 散金: 200
- 红花: 5
- 帖子: 531
- 在线: 440小时
- 虫号: 1487909
- 注册: 2011-11-12
- 性别: GG
- 专业: 生物大分子结构与功能

2楼2012-08-06 19:34:58
zgzykxyygp
铜虫 (正式写手)
- 应助: 1 (幼儿园)
- 金币: 16.4
- 散金: 347
- 红花: 6
- 帖子: 638
- 在线: 208.5小时
- 虫号: 1074973
- 注册: 2010-08-15
- 性别: GG
- 专业: 中药药效物质

3楼2012-08-06 20:19:23
nanwuweizi
铜虫 (小有名气)
- 应助: 22 (小学生)
- 金币: 446.4
- 红花: 1
- 帖子: 85
- 在线: 21.2小时
- 虫号: 1899551
- 注册: 2012-07-18
- 专业: 中药鉴定
4楼2012-08-06 22:29:24
zgzykxyygp
铜虫 (正式写手)
- 应助: 1 (幼儿园)
- 金币: 16.4
- 散金: 347
- 红花: 6
- 帖子: 638
- 在线: 208.5小时
- 虫号: 1074973
- 注册: 2010-08-15
- 性别: GG
- 专业: 中药药效物质

5楼2012-08-07 13:46:14
comeonkarry
金虫 (正式写手)
- 应助: 9 (幼儿园)
- 金币: 1036.6
- 散金: 374
- 红花: 34
- 帖子: 811
- 在线: 343.7小时
- 虫号: 1353565
- 注册: 2011-07-22
- 性别: MM
- 专业: 天然药物化学

6楼2012-08-07 14:58:55
zgzykxyygp
铜虫 (正式写手)
- 应助: 1 (幼儿园)
- 金币: 16.4
- 散金: 347
- 红花: 6
- 帖子: 638
- 在线: 208.5小时
- 虫号: 1074973
- 注册: 2010-08-15
- 性别: GG
- 专业: 中药药效物质

7楼2012-08-07 20:21:30
zgzykxyygp
铜虫 (正式写手)
![]() ![]() ![]() ![]() ![]() ![]() ![]() ![]() ![]() ![]() ![]() ![]() ![]() ![]() ![]() ![]() ![]() ![]() ![]() ![]() ![]() ![]() ![]() ![]() ![]() ![]() ![]() ![]() |
8楼2012-08-07 21:09:50
Cpuli87
木虫 (正式写手)
- 应助: 77 (初中生)
- 金币: 1957.2
- 散金: 107
- 红花: 2
- 帖子: 434
- 在线: 327.5小时
- 虫号: 876210
- 注册: 2009-10-18
- 性别: GG
- 专业: 天然药物化学
9楼2012-08-08 18:25:37













回复此楼


20