| 查看: 5322 | 回复: 21 | |
[求助]
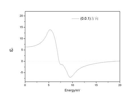
在光学性质图上怎么判断静态介电常数和高频介电常数
|
|
|
|
|
| 回帖支持 ( 显示支持度最高的前 50 名 ) | |
dujunhui金虫 (正式写手)
|
|
|
7楼2012-08-08 12:14:01
|
|
|
20楼2013-06-23 12:07:56
|
|
| 普通回帖 | |
|
2楼2012-08-07 08:39:43
|
|
![]() |
|
|
3楼2012-08-07 09:31:36
|
|
dujunhui金虫 (正式写手)
|
|
|
4楼2012-08-07 17:18:00
|
|
|
5楼2012-08-08 07:53:34
|
|
|
6楼2012-08-08 07:55:41
|
|
|
8楼2012-08-09 06:22:15
|
|
iamikaruk木虫 (著名写手)
|
|
![]() |
|
|
9楼2012-08-09 08:43:25
|
|
|
10楼2012-08-09 21:52:49
|
|













回复此楼


