| 查看: 2043 | 回复: 0 | |||
gdw8668铁杆木虫 (正式写手)
|
[交流]
CV曲线不是矩形
|
|
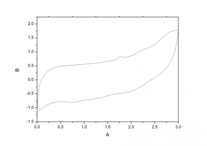
大家帮忙看下这个CV曲线为什么不是矩形? 我做的是双电极电容器,电极材料为纳米纤维/碳管(C/CNTs),电解液为BmimBF4/AC. 请问:造成这种现象的原因可能有哪些?谢谢 CV [ Last edited by gdw8668 on 2012-8-27 at 09:36 ] |
» 猜你喜欢
青岛大学化学化工学院2026年招收调剂硕士研究生
已经有0人回复
2026年宁波工程学院招收硕士研究生(调剂)
已经有6人回复
物理化学论文润色/翻译怎么收费?
已经有221人回复
山东科技大学(省属重点一本)泰山学者团队招收研究生调剂3-5名,新能源与新材料方向
已经有6人回复
生物与医药专业硕士调剂(河北大学 化学与材料科学学院)
已经有33人回复
河北大学分析化学招收多名调剂考生
已经有31人回复
【2026博士申请】化学、电池、材料
已经有1人回复
杰青/长江团队招收硕士调剂
已经有4人回复
青岛大学化学化工学院2026年招收调剂硕士研究生
已经有0人回复
材料科学与工程 或 材料与化工(专硕)调剂 要求:初试考408
已经有0人回复
298分 070300求调剂
已经有8人回复
» 本主题相关商家推荐: (我也要在这里推广)
找到一些相关的精华帖子,希望有用哦~
求分析一下循环伏安测试曲线
已经有8人回复
关于用CV曲线计算电容器的容量
已经有52人回复
求大家帮忙分析下这个CV曲线吧
已经有10人回复
电容器电容计算方法讨论
已经有56人回复
【讨论】CV曲线 赝电容相关
已经有23人回复
【求助】超级电容器测试问题
已经有14人回复
【求助】CV曲线怎么计算比电容呢?
已经有17人回复
【求助】帮忙分析一下循环伏安曲线
已经有15人回复
【求助】超级电容器电容越测越大?
已经有30人回复
【求助】碳纳米管超级电容器集电极材料
已经有5人回复
科研从小木虫开始,人人为我,我为人人














回复此楼


点击这里搜索更多相关资源