| 查看: 970 | 回复: 1 | ||
guoyhchina金虫 (小有名气)
|
[求助]
怎样编写UDF是壁温、流体温度及速度的函数
|
|
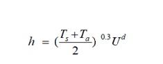
在算有关传热的问题,其中对流换热系数是壁温、流体温度及速度的函数,即: 其中Ts为壁面温度,Ta为壁面附近流体温度,U为壁面附近流体速度。 已看UDF帮助一段时间了,但还是没头绪,不知道壁温、流体温度及速度该用什么UDF符号表示,请高手帮忙,先谢了。 |
» 猜你喜欢
282求调剂
已经有22人回复
283求调剂
已经有5人回复
265求调剂
已经有21人回复
288求调剂 一志愿哈工大 材料与化工
已经有10人回复
调剂0855-288
已经有5人回复
电子信息调剂交叉学科有推荐吗
已经有6人回复
266求调剂
已经有6人回复
材料科学与工程考研
已经有10人回复
283分材料与化工求调剂
已经有29人回复
一志愿哈尔滨工业大学085600英一数二337分求调剂
已经有4人回复
» 本主题相关价值贴推荐,对您同样有帮助:
无机玻璃的玻璃转变温度代表啥意思?如何测玻璃粘度-温度关系?
已经有12人回复
《温度决定生老病死(丰洁明)》(2010版本)【已搜索无重复】
已经有20人回复
求助!!!我想要在fluent中针对一个面进行积分,那么UDF应该用什么宏函数?怎么用?
已经有5人回复
求matlab画一个函数的图
已经有6人回复
fluent中用udf编写三维速度边界条件出现错误,大家来指导一下啊
已经有9人回复
同温同压下水和冰的表面张力哪个大?
已经有16人回复
曳力函数的的UDF
已经有15人回复
怎么得到旋轨耦合中不同J值的本征值和波函数?
已经有6人回复
怎样用UDF获得管道管内流体的中心温度?
已经有3人回复
【讨论】一般马弗炉最高升温速度能到每分钟多少度啊
已经有42人回复
【求助】恒温振荡器做酶解提取紫甘薯色素实验的转速多少合适?
已经有21人回复
2楼2013-12-05 19:36:57














回复此楼