| 查看: 1705 | 回复: 1 | |
[求助]
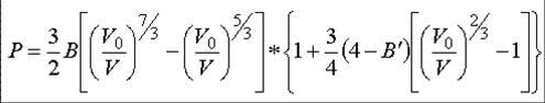
CASTEP 计算E-V曲线以及P-V曲线的问题
|
|
|
|
|
xzy401633金虫 (小有名气)
|
|
![]() |
|
|
2楼2013-12-26 10:13:00
|
|














回复此楼

5