| 查看: 5103 | 回复: 1 | ||
[求助]
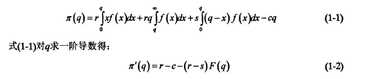
求教大神们报童模型的积分求解过程。。。。
|
||
|
|
||
|
||
|
2楼2012-12-27 20:33:13
|
|















回复此楼