| ²é¿´: 915 | »Ø¸´: 10 | ||
[ÇóÖú]
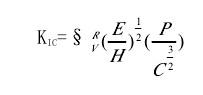
Çó´ò¹«Ê½°¡¡¢¡¢¡¢
|
||
|
|
||
| »ØÌûÖ§³Ö ( ÏÔʾ֧³Ö¶È×î¸ßµÄǰ 50 Ãû ) | ||
whd²©Ê¿Ä¾³æ (ÖøÃûдÊÖ)
|
¡¾´ð°¸¡¿Ó¦Öú»ØÌû
¸Ðл²ÎÓ룬ӦÖúÖ¸Êý +1
|
|
|
2Â¥2012-05-22 19:30:45
|
|
|
| ÆÕͨ»ØÌû | ||
¿ÕÖñľ³æ (СÓÐÃûÆø)
|
||
|
3Â¥2012-05-22 20:42:23
|
|
|
hyde841008ľ³æ (ÖøÃûдÊÖ)
|
||
|
4Â¥2012-05-23 08:27:11
|
|
|
Ïã×íϦÑôľ³æ (ÕýʽдÊÖ)
|
||
|
5Â¥2012-05-23 08:50:25
|
|
|
zhuhairong14ľ³æ (ÕýʽдÊÖ)
|
||
|
6Â¥2012-05-23 09:40:44
|
|
|
cd_liuľ³æ (СÓÐÃûÆø)
|
||
![]() |
||
|
7Â¥2012-05-23 11:43:32
|
|
|
tjcdpÈÙÓþ°æÖ÷ (ÖªÃû×÷¼Ò)
|
||
|
8Â¥2012-05-23 12:55:04
|
|
|
whd²©Ê¿Ä¾³æ (ÖøÃûдÊÖ)
|
||
|
9Â¥2012-05-23 13:19:01
|
|
|
ÉϹŴæ»õÒø³æ (СÓÐÃûÆø)
|
||
![]() |
||
|
10Â¥2012-05-23 16:20:21
|
|
|














»Ø¸´´ËÂ¥
