| 查看: 2015 | 回复: 8 | ||
小刘8885木虫 (正式写手)
|
[求助]
Matlab,解复数方程
|
|
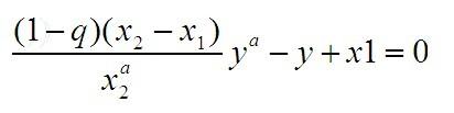
怎么解这个方程?如下图。其中x1和x2都为复数,q和a为已知的常数。x1和x2为数据文件,如下图所示。怎么导入x1和x2并解出一系列对应的y值,并且将求的的y值以类似x1的文件形式导出来,即分为实部和虚部导出? 公式 数据 |
» 本帖附件资源列表
-
欢迎监督和反馈:小木虫仅提供交流平台,不对该内容负责。
本内容由用户自主发布,如果其内容涉及到知识产权问题,其责任在于用户本人,如对版权有异议,请联系邮箱:xiaomuchong@tal.com - 附件 1 : shuju.txt
2012-05-21 20:01:14, 2.77 K
» 猜你喜欢
售SCI一区文章,我:8 O5 51O 54,科目齐全,可+急
已经有6人回复
售SCI一区文章,我:8 O5 51O 54,科目齐全,可+急
已经有10人回复
售SCI一区文章,我:8 O5 51O 54,科目齐全,可+急
已经有8人回复
售SCI一区文章,我:8 O5 51O 54,科目齐全,可+急
已经有10人回复
售SCI一区文章,我:8 O5 51O 54,科目齐全,可+急
已经有11人回复
依托企业入选了国家启明计划青年人才。有无高校可以引进的。
已经有14人回复
表哥与省会女结婚,父母去帮带孩子被省会女气回家生重病了
已经有11人回复
江汉大学解明教授课题组招博士研究生/博士后
已经有3人回复
AI 太可怕了,写基金时,提出想法,直接生成的文字比自己想得深远,还有科学性
已经有11人回复
同年申请2项不同项目,第1个项目里不写第2个项目的信息,可以吗
已经有10人回复
» 本主题相关价值贴推荐,对您同样有帮助:
请教下:如何求一个函数在一定范围内的全部解
已经有10人回复
求各位前辈帮忙!matlab解复数方程,出现图中的警告,怎来修改呢?谢谢了啊
已经有5人回复
【致H兄】数列题的万能多项式拟合求法
已经有28人回复
MATLAB解方程出现??? Subscripted assignment dimension mismatch.
已经有3人回复
matlab 复数矩阵转为实数矩阵 等值线作图求助 详见帖内
已经有1人回复
怎么用origin拟合德拜理论
已经有17人回复
【求助】100金币求助高人一个程序解方程
已经有15人回复
【求助】复超越方程的解法
已经有19人回复
【书籍】《统计与自适应信号处理》D.G.Manolakis 著
已经有14人回复
dingd
铁杆木虫 (职业作家)
- 应助: 1641 (讲师)
- 金币: 15037.3
- 散金: 101
- 红花: 234
- 帖子: 3410
- 在线: 1223.7小时
- 虫号: 291104
- 注册: 2006-10-28
【答案】应助回帖
★
感谢参与,应助指数 +1
小刘8885: 金币+1, 谢谢参与 2012-05-21 21:10:47
感谢参与,应助指数 +1
小刘8885: 金币+1, 谢谢参与 2012-05-21 21:10:47
|
用1stOpt试试,比较简单,下面假设q=3.5, a=0.25,以前10个数据为例计算: y.实部 y.虚部 26.0549308935745 -3.39054421631229 21.3634333717575 -2.15713840435354 20.5571962148911 -1.69871196786957 27.2314765798707 -2.70147269442524 20.4345049478304 -1.33862681249657 19.0671427961527 -0.949477270203328 19.371747766277 -0.850707043007433 20.575089935508 -0.966582317014032 18.2424521984911 -0.447405238620689 16.8276617636246 -0.0454317407652095 |
2楼2012-05-21 20:54:53
3楼2012-05-22 07:09:32
小刘8885
木虫 (正式写手)
- 应助: 3 (幼儿园)
- 金币: 10042.8
- 散金: 200
- 帖子: 468
- 在线: 160.5小时
- 虫号: 735175
- 注册: 2009-03-30
- 性别: MM
- 专业: 材料物理化学
4楼2012-05-22 08:49:27
小刘8885
木虫 (正式写手)
- 应助: 3 (幼儿园)
- 金币: 10042.8
- 散金: 200
- 帖子: 468
- 在线: 160.5小时
- 虫号: 735175
- 注册: 2009-03-30
- 性别: MM
- 专业: 材料物理化学
5楼2012-05-22 08:52:55
6楼2012-05-22 09:36:53
xcj3630385
木虫 (小有名气)
长江11号
- 应助: 6 (幼儿园)
- 金币: 5104.3
- 帖子: 205
- 在线: 217.1小时
- 虫号: 1359358
- 注册: 2011-08-02
- 性别: GG
- 专业: 金属非晶态、准晶和纳米晶
|
function f= f_main(data, a, q) x1 = data(:,1) + data(:,2)*i; x2 = data(:,3) + data(:,4)*i; x0 = zeros(length(data),1); f = fsolve(@(y)func(a,q,x1,x2,y), x0) r = [real(f), imag(f)]; save('result.txt','r','-ascii'); function f = func(a, q, x1, x2, y) f = (1-q).*(x2-x1)./(x2.^a).*(y.^a) - y + x1; %变形式。 |

7楼2012-05-25 12:33:54
xcj3630385
木虫 (小有名气)
长江11号
- 应助: 6 (幼儿园)
- 金币: 5104.3
- 帖子: 205
- 在线: 217.1小时
- 虫号: 1359358
- 注册: 2011-08-02
- 性别: GG
- 专业: 金属非晶态、准晶和纳米晶

8楼2012-05-25 12:37:44
|
9楼2012-05-25 12:41:59













回复此楼
小刘8885