| ²é¿´: 988 | »Ø¸´: 3 | ||
130098300Òø³æ (ÕýʽдÊÖ)
|
[ÇóÖú]
Roderigues FormulaµÄÎÊÌ⣨ÊÇÂÞµÂÀï¸ñ˹¹«Ê½Âð£¬ÎÒ²»ÖªµÀÊDz»ÊÇÕâÑù·Ò룩
|
|
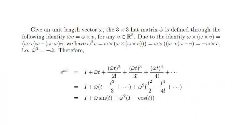
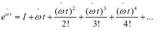
Óöµ½Ò»¸ö¹«Ê½ÍƵ¼µÄÎÊÌâ£¬Éæ¼°µ½Roderigues Formula£¬·Òë¹ýÀ´ÊÇÂÞµÂÀï¸ñ˹¹«Ê½Â𣬺Ǻǣ¬ÎÒ²»ÖªµÀ¶Ô²»¶Ô¡£Çë¿´¸½Í¼1 ÆäÖÐOmega hatÊÇ·´¶Ô³Æ¾ØÕó£¬ÍƵ¼Ê±¸øµÄÌáʾÊÇ°ÑÆäÖÐµÄÆæÏîºÍżÏî·Ö±ð´¦Àí£¬Ó¦¸ÃÊÇ°ÑÆäÖÐµÄÆæÏîÏà¼Ó£¬Å¼ÏîÏà¼Ó¡£ÔÎÄÊÇ£ºCollecting the odd and even terms in the above equation, we get to Roderigues Formula for a rotation matrix R. RµÄ±í´ïʽ¼û¸½Í¼2¡£ ¿ÉÄÜ»áÓÐȱÉٵIJÎÊýʲôµÄ£¬Èç¹ûÓУ¬Çë¸øÎÒ˵һÏ¡£ лл£¬ÅóÓÑÃÇ£¡ [ À´×Ô¿ÆÑмÒ×å ÕÜѧÈËÉú ] |
» ²ÂÄãϲ»¶
277²ÄÁÏ¿ÆÑ§Ó빤³Ì080500Çóµ÷¼Á
ÒѾÓÐ7È˻ظ´
317Çóµ÷¼Á
ÒѾÓÐ18È˻ظ´
293Çóµ÷¼Á
ÒѾÓÐ5È˻ظ´
280·ÖÇóµ÷¼Á Ò»Ö¾Ô¸085802
ÒѾÓÐ7È˻ظ´
0854µç×ÓÐÅÏ¢Çóµ÷¼Á
ÒѾÓÐ3È˻ظ´
263Çóµ÷¼Á
ÒѾÓÐ4È˻ظ´
ʯºÓ×Ó´óѧ£¨211¡¢Ë«Ò»Á÷£©Ë¶²©Ñо¿Éú³¤ÆÚÕÐÉú¹«¸æ
ÒѾÓÐ3È˻ظ´
Ò»Ö¾Ô¸Î÷°²½»Í¨´óѧ²ÄÁϹ¤³Ìרҵ 282·ÖÇóµ÷¼Á
ÒѾÓÐ13È˻ظ´
±±¿Æ281ѧ˶²ÄÁÏÇóµ÷¼Á
ÒѾÓÐ6È˻ظ´
328Çóµ÷¼Á£¬Ó¢ÓïÁù¼¶551£¬ÓпÆÑоÀú
ÒѾÓÐ10È˻ظ´
» ±¾Ö÷ÌâÏà¹Ø¼ÛÖµÌùÍÆ¼ö£¬¶ÔÄúͬÑùÓаïÖú:
êPì¶ICNC12ÌØ„eÊÕä›SCI-Iindex†–î}
ÒѾÓÐ9È˻ظ´
¾Û±½°·°üËÄÑõ»¯ÈýÌúµÄÎÊÌâ
ÒѾÓÐ3È˻ظ´
ÇóÖú£¡¹ØÓÚ´óÊóʵÑé±ê¼ÇµÄÎÊÌâ
ÒѾÓÐ4È˻ظ´
¹ØÓÚ»ì¾ú·¢½ÍµÄÎÊÌ⣨ºìÇúù¡¢ÁéÖ¥¾ú¡¢ºì²è¾ú)
ÒѾÓÐ8È˻ظ´
²âÁ¿²ÄÁϵĹâÎüÊÕÆ×ʱ£¬¹â·˳ÐòÎÊÌâ
ÒѾÓÐ6È˻ظ´
ÎÊÒ»¸ö¹ØÓÚÓÃDCC/DMAP»òCDI»î»¯õ¥»¯µÄÎÊÌ⣿£¿£¿£¿£¿£¿£¿£¿£¿£¿
ÒѾÓÐ19È˻ظ´
ÓÐûÓжԱíÃæºÜ¶®Ðеģ¿ ÇóÖú¹ØÓÚ±íÃæÔÙ¹¹µÄÎÊÌâ ¸Ðл£¡£¡£¡£¡£¡
ÒѾÓÐ3È˻ظ´
¹ØÓÚÜлùÂȳɼ¾ï§ÑεÄÎÊÌ⣬³¢ÊÔÁË10¶à´Î¶¼Î´³É¹¦£¬Ï£Íû´ó¼Ò°ï°ïæ°¡¡£Ð»Ð»ÁË£¡
ÒѾÓÐ6È˻ظ´
ÍÁÈÀϸ¾úDNA PCRÎÊÌâ
ÒѾÓÐ6È˻ظ´
´óƬ¶ÎDNA²âÐòµÄÎÊÌâ
ÒѾÓÐ7È˻ظ´
¹ØÓÚÖÐÓ¢Îijɼ¨µ¥ÎÊÌâ
ÒѾÓÐ4È˻ظ´
¹ØÓÚ¡°±ûͪ²æ¡±Íѱ£»¤µÄÎÊÌ⣬¼îÐÔÏÂ40¶ÈÄÜÇáËÉÍѱ£»¤£¿
ÒѾÓÐ9È˻ظ´
¹ØÓÚÆØÆø½Á°èµÄһЩÎÊÌâÇó½Ì
ÒѾÓÐ10È˻ظ´
ÄѵÀÓÃfort ±àÒëgk.f»áÓÐÎÊÌ⣿
ÒѾÓÐ4È˻ظ´
Ïà¹ØÏµÊýRµÄͳ¼ÆÑ§ÎÊÌâ
ÒѾÓÐ16È˻ظ´
¡¾ÌÖÂÛ¡¿Ò»¸öformula£ºLi0.96Zr0.04FePO4µÄÀí½â
ÒѾÓÐ14È˻ظ´

acmuser
Òø³æ (СÓÐÃûÆø)
- Ó¦Öú: 22 (СѧÉú)
- ½ð±Ò: 324.5
- ºì»¨: 1
- Ìû×Ó: 74
- ÔÚÏß: 22.9Сʱ
- ³æºÅ: 1582407
- ×¢²á: 2012-01-18
- ÐÔ±ð: GG
- רҵ: ¼ÆËãÊýѧÓë¿ÆÑ§¹¤³Ì¼ÆËã
2Â¥2012-05-21 22:02:50
acmuser
Òø³æ (СÓÐÃûÆø)
- Ó¦Öú: 22 (СѧÉú)
- ½ð±Ò: 324.5
- ºì»¨: 1
- Ìû×Ó: 74
- ÔÚÏß: 22.9Сʱ
- ³æºÅ: 1582407
- ×¢²á: 2012-01-18
- ÐÔ±ð: GG
- רҵ: ¼ÆËãÊýѧÓë¿ÆÑ§¹¤³Ì¼ÆËã
3Â¥2012-05-21 22:03:54
130098300
Òø³æ (ÕýʽдÊÖ)
- Ó¦Öú: 6 (Ó×¶ùÔ°)
- ½ð±Ò: 860.6
- É¢½ð: 168
- ºì»¨: 1
- Ìû×Ó: 822
- ÔÚÏß: 111.4Сʱ
- ³æºÅ: 1391347
- ×¢²á: 2011-09-05
- ÐÔ±ð: GG
- רҵ: ģʽʶ±ð

4Â¥2012-05-22 14:28:50













»Ø¸´´ËÂ¥