版块导航
正在加载中...
客户端APP下载
论文辅导
申博辅导
登录
注册
帖子
帖子
用户
本版
应《网络安全法》要求,自2017年10月1日起,未进行实名认证将不得使用互联网跟帖服务。为保障您的帐号能够正常使用,请尽快对帐号进行手机号验证,感谢您的理解与支持!
24小时热门版块排行榜
>
论坛更新日志
(3399)
>
文献求助
(286)
>
导师招生
(198)
>
虫友互识
(173)
>
硕博家园
(139)
>
休闲灌水
(119)
>
论文投稿
(92)
>
教师之家
(82)
>
招聘信息布告栏
(70)
>
博后之家
(63)
>
绿色求助(高悬赏)
(54)
>
考研
(52)
>
考博
(42)
>
基金申请
(41)
>
公派出国
(32)
>
找工作
(24)
小木虫论坛-学术科研互动平台
»
专业学科区
»
数学
»
基础数学
»
哪位大神能把这一道题帮小弟做一下,纠结三天了
5
1/1
返回列表
查看: 571 | 回复: 4
只看楼主
@他人
存档
新回复提醒
(忽略)
收藏
在APP中查看
lhsleep
银虫
(初入文坛)
应助: 0
(幼儿园)
金币: 747.3
帖子: 19
在线: 19.5小时
虫号: 1487509
注册: 2011-11-11
专业: 控制理论与方法
[
求助
]
哪位大神能把这一道题帮小弟做一下,纠结三天了
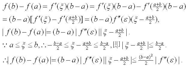
我知道用中值定理,写成泰勒展式,我只能证出来4/(b-a)^2但是证不出来2/(b-a)^4 谢谢了
回复此楼
» 猜你喜欢
投稿Elsevier的Neoplasia杂志,到最后选publishing options时页面空白,不能完成投稿
已经有20人回复
职称评审没过,求安慰
已经有19人回复
垃圾破二本职称评审标准
已经有12人回复
EST投稿状态问题
已经有7人回复
谈谈两天一夜的“延安行”
已经有15人回复
毕业后当辅导员了,天天各种学生超烦
已经有4人回复
聘U V热熔胶研究人员
已经有10人回复
求助文献
已经有3人回复
投稿返修后收到这样的回复,还有希望吗
已经有8人回复
三无产品还有机会吗
已经有6人回复
高级回复
» 本主题相关价值贴推荐,对您同样有帮助:
各位大神,指导一下小弟!!!FLuent
已经有4人回复
rt-pcr图,请大神们帮助分析一下,急。。。谢谢。。。
已经有20人回复
哪位大神帮我看看这个从牛肚子里出来的东西是什么
已经有14人回复
大神来帮忙,小弟求助---水处理类文章投什么杂志好
已经有19人回复
急急急,哪位大神帮忙分析一下透镜图~~看不懂~汗一个先
已经有20人回复
求大神们帮小菜鸟分析一下透镜图
已经有24人回复
纠结!导师推荐的一个老师让我申他学校,能帮我分析下吗?
已经有7人回复
matlab作业哪位大神麻烦给做一下,十万火急,周五之间要交
已经有3人回复
哪位大神能帮忙总结下常见天然产物的预检识方法啊,膜拜~~~~
已经有3人回复
招工作遇到纠结事,请各位帮忙分析分析,帮小弟出出主意。谢谢了。
已经有24人回复
就业很纠结,恳请大家帮我指导一下
已经有27人回复
1楼
2012-05-17 12:12:18
已阅
回复此楼
关注TA
给TA发消息
送TA红花
TA的回帖
xuyx_78
金虫
(小有名气)
应助: 39
(小学生)
金币: 1714.5
红花: 1
帖子: 176
在线: 80.3小时
虫号: 1385856
注册: 2011-09-01
专业: 计算数学与科学工程计算
要证明的结果中应该是(b-a)^2,不是(b-a)^4.例如对函数y=x^3在闭区间[-1/8,1/8]上满足二次可微,且f'(0)=0.由计算(2/(b-a)^4)*|f(b)-f(a)|=2,但f''(x)=6x在此区间上的最大值为4/3<2,即结论不成立.
赞
一下
(1人)
回复此楼
2楼
2012-05-17 22:23:21
已阅
回复此楼
关注TA
给TA发消息
送TA红花
TA的回帖
lhsleep
银虫
(初入文坛)
应助: 0
(幼儿园)
金币: 747.3
帖子: 19
在线: 19.5小时
虫号: 1487509
注册: 2011-11-11
专业: 控制理论与方法
引用回帖:
2楼
:
Originally posted by
xuyx_78
at 2012-05-17 22:23:21:
要证明的结果中应该是(b-a)^2,不是(b-a)^4.例如对函数y=x^3在闭区间上满足二次可微,且f'(0)=0.由计算(2/(b-a)^4)*|f(b)-f(a)|=2,但f''(x)=6x在此区间上的最大值为4/3<2,即结论不成立.
4f/51/1385856_133726443 ...
太感谢了,不过,这个,那金币是怎么给的啊,
没找到,太对不起了,郁闷
赞
一下
回复此楼
3楼
2012-05-20 17:18:11
已阅
回复此楼
关注TA
给TA发消息
送TA红花
TA的回帖
shtlyou
木虫
(小有名气)
应助: 7
(幼儿园)
金币: 3673.2
红花: 1
帖子: 226
在线: 73.6小时
虫号: 1749006
注册: 2012-04-10
性别: GG
专业: 水泥与耐火材料
【答案】应助回帖
觉得楼主1的证明有误,楼主1 说a≤ζ≤b ,则(b-a)/2≤ζ-(b-a)/2≤(b-a)/2,
设a=99, ζ=99.5 b=100,可得ζ-(b-a)/2=99>0.5=(b-a)/2,故觉得楼主1的证明有误,
赞
一下
回复此楼
想过成功,想过失败,但从来没有想过放弃。只为成功找办法,不为失败找理由!
4楼
2012-05-20 21:16:41
已阅
回复此楼
关注TA
给TA发消息
送TA红花
TA的回帖
lhsleep
银虫
(初入文坛)
应助: 0
(幼儿园)
金币: 747.3
帖子: 19
在线: 19.5小时
虫号: 1487509
注册: 2011-11-11
专业: 控制理论与方法
这是个错题,抄错了
赞
一下
回复此楼
5楼
2012-05-21 20:52:44
已阅
回复此楼
关注TA
给TA发消息
送TA红花
TA的回帖
相关版块跳转
数理科学综合
机械
物理
数学
农林
食品
地学
能源
信息科学
土木建筑
航空航天
转基因
我要订阅楼主
lhsleep
的主题更新
5
1/1
返回列表
如果回帖内容含有宣传信息,请如实选中。否则帐号将被全论坛禁言
普通表情
龙
兔
虎
猫
百度网盘
|
360云盘
|
千易网盘
|
华为网盘
在新窗口页面中打开自己喜欢的网盘网站,将文件上传后,然后将下载链接复制到帖子内容中就可以了。
信息提示
关闭
请填处理意见
关闭
确定