版块导航
正在加载中...
客户端APP下载
论文辅导
申博辅导
登录
注册
帖子
帖子
用户
本版
应《网络安全法》要求,自2017年10月1日起,未进行实名认证将不得使用互联网跟帖服务。为保障您的帐号能够正常使用,请尽快对帐号进行手机号验证,感谢您的理解与支持!
24小时热门版块排行榜
>
论坛更新日志
(1775)
>
虫友互识
(134)
>
导师招生
(33)
>
论文道贺祈福
(20)
>
文献求助
(15)
>
基金申请
(14)
>
考博
(13)
>
休闲灌水
(12)
>
博后之家
(11)
>
硕博家园
(10)
>
教师之家
(9)
>
考研
(9)
>
论文投稿
(7)
>
公派出国
(6)
>
招聘信息布告栏
(5)
>
有机资源
(4)
小木虫论坛-学术科研互动平台
»
材料区
»
功能材料
»
交流互助
»
薄膜材料出现强烈的干涉震荡曲线
16
1/1
返回列表
查看: 1908 | 回复: 15
只看楼主
@他人
存档
新回复提醒
(忽略)
收藏
在APP中查看
Jason-wong
至尊木虫
(职业作家)
应助: 160
(高中生)
金币: 12867
帖子: 4121
在线: 640.9小时
虫号: 1707318
[交流]
薄膜材料出现强烈的干涉震荡曲线
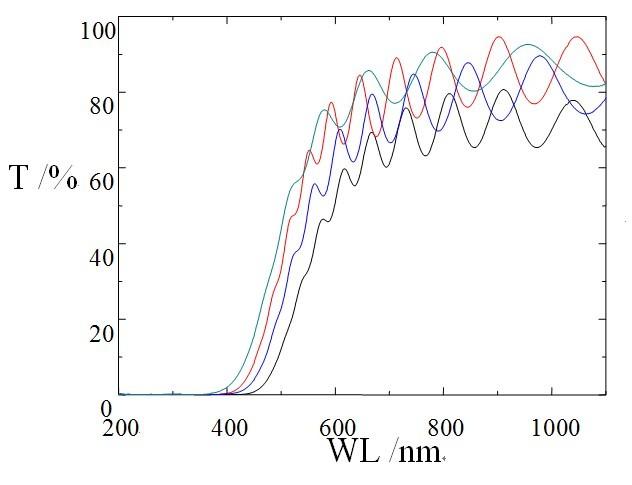
我们制备的一种半导体薄膜材料,透过谱观察出现有强烈的干涉震荡曲线,有没有一个比较成熟的解释呢?原因只是由于样品上下表面发射形成的薄膜干涉造成的吗?有没有牛人有别的解释呢?ps:干涉震荡曲线的出现,能说明薄膜的质量好吗?
不同条件下制备的薄膜透过谱
[
Last edited by Jason-wong on 2012-5-15 at 20:29
]
回复此楼
» 猜你喜欢
有院领导为了换新车,用横向课题经费买了俩车
已经有3人回复
有时候真觉得大城市人没有县城人甚至个体户幸福
已经有9人回复
CSC & MSCA 博洛尼亚大学能源材料课题组博士/博士后招生|MSCA经费充足、排名优
已经有6人回复
天津大学招2026.09的博士生,欢迎大家推荐交流(博导是本人)
已经有4人回复
同年申请2项不同项目,第1个项目里不写第2个项目的信息,可以吗
已经有3人回复
退学或坚持读
已经有28人回复
面上项目申报
已经有3人回复
酰胺脱乙酰基
已经有9人回复
博士延得我,科研能力直往上蹿
已经有7人回复
面上基金申报没有其他的参与者成吗
已经有5人回复
» 本主题相关商家推荐:
(我也要在这里推广)
高级回复
» 本主题相关价值贴推荐,对您同样有帮助:
fluent中残差曲线收敛及震荡问题解决
已经有132人回复
LAMMPS温度-步长曲线震荡
已经有11人回复
【课件】利用弯矩-曲率(M-Φ)曲线评价截面性能(抗震弹塑性分析).ppt
已经有13人回复
射频磁控溅射ZAO陶瓷靶时遇到的一些问题
已经有10人回复
欧拉气液两相流模拟k和epsilon残差曲线震荡幅度大,怎么办
已经有6人回复
过渡态优化,iop(1/8=1),能量曲线依然震荡,我还要hold住吗?
已经有17人回复
fluent迭代残差曲线震荡
已经有6人回复
【求助】请教残差曲线震荡的解决问题
已经有6人回复
【求助】薄膜的红外反射谱和透射谱
已经有7人回复
» 抢金币啦!回帖就可以得到:
查看全部散金贴
供应爱德华RV 3、RV 12,阿特拉斯及莱宝真空品牌油泵及分子泵等真空产品15216851283
+
1
/86
结构动力学与结构健康监测方向欧盟玛丽居里全奖博士招聘
+
1
/78
山东征女友,坐标济南
+
1
/64
南方科技大学物理系夏秀杨课题组招收博士生/博士后 计算与理论软物质/生物物理方向
+
1
/34
香港科技大学计算物理及流体力学课题组招收全奖博士后及博士生(2026年9月入学)
+
1
/33
操作求助
+
1
/33
西交利物浦大学招收26年【全奖】博士生1名(空间智能沉浸式手术导航)
+
1
/28
江西理工大学 稀土学院 稀土功能材料方向 招收2026届博士研究生、硕士研究生
+
1
/26
苏州大学招收申请考核制博士生、博士后(2026)
+
1
/17
招收中国CSC或学校资助联培博士生/访问学生-- Tsinghua-A*STAR 2025 Joint Funding
+
1
/10
哈工大 张乃庆课题组招收博士快响计划(名额充足),通过后随时入学
+
1
/10
澳科大药诚招2026年秋季药剂学/生物材料硕士研究生
+
1
/8
上海理工大学顾敏院士、张轶楠教授团队 招聘 2026级 光学工程 博士生
+
1
/6
哈工大(深圳)物理招收2026年9月入学博士生1个名额
+
1
/6
上海理工顾敏院士/李蔚团队招收2026级博士研究生 (集成光学、量子信息方向)
+
1
/5
邵阳学院食品与化学工程学院硕士调剂
+
1
/3
求资源
+
1
/2
江汉大学轩亮教授课题组招博士研究生/博士后
+
1
/2
上海理工顾敏院士/李蔚团队招收2026级博士研究生 (集成光学、量子信息方向)
+
1
/1
Advanced Science审稿周期一般要多久
+
1
/1
1楼
2012-05-15 20:08:38
已阅
回复此楼
关注TA
给TA发消息
送TA红花
TA的回帖
蒋青松
荣誉版主
(著名写手)
FPI: 2
应助: 108
(高中生)
贵宾: 2.984
金币: 1651.4
帖子: 2807
在线: 779.8小时
虫号: 1004061
★ ★ ★
小木虫: 金币+0.5, 给个红包,谢谢回帖
qiqiqiqi: 金币+1, 蒋版辛苦~
2012-05-16 08:12:46
Jason-wong: 金币+1, 谢谢解答~
2012-05-16 10:52:31
在光子晶体中,如果有振荡,说明晶体的厚度均匀哦!
赞
一下
回复此楼
2楼
2012-05-16 07:39:06
已阅
回复此楼
关注TA
给TA发消息
送TA红花
TA的回帖
Jason-wong
至尊木虫
(职业作家)
应助: 160
(高中生)
金币: 12867
帖子: 4121
在线: 640.9小时
虫号: 1707318
引用回帖:
2楼
:
Originally posted by
蒋青松
at 2012-05-16 07:39:06:
在光子晶体中,如果有振荡,说明晶体的厚度均匀哦!
嗯,对于用作太阳能电池的薄膜也是如此吧?
赞
一下
回复此楼
3楼
2012-05-16 10:52:01
已阅
回复此楼
关注TA
给TA发消息
送TA红花
TA的回帖
Jason-wong
至尊木虫
(职业作家)
应助: 160
(高中生)
金币: 12867
帖子: 4121
在线: 640.9小时
虫号: 1707318
怎么木有多少反馈呢~~有金币的哦~~
赞
一下
回复此楼
4楼
2012-05-16 11:48:41
已阅
回复此楼
关注TA
给TA发消息
送TA红花
TA的回帖
wulidianzi
木虫
(著名写手)
应助: 13
(小学生)
金币: 3012.2
帖子: 1924
在线: 276.2小时
虫号: 494603
★
小木虫: 金币+0.5, 给个红包,谢谢回帖
可以利用干涉的峰峰值解调出宽度,看看是不是跟SEM测试的结果一致啊?这样的干涉条纹,感觉还是挺好的啊!
赞
一下
回复此楼
5楼
2012-05-16 14:22:21
已阅
回复此楼
关注TA
给TA发消息
送TA红花
TA的回帖
蒋青松
荣誉版主
(著名写手)
FPI: 2
应助: 108
(高中生)
贵宾: 2.984
金币: 1651.4
帖子: 2807
在线: 779.8小时
虫号: 1004061
★
小木虫: 金币+0.5, 给个红包,谢谢回帖
引用回帖:
3楼
:
Originally posted by
Jason-wong
at 2012-05-16 10:52:01:
嗯,对于用作太阳能电池的薄膜也是如此吧?
那就不清楚了哈!呵呵呵
赞
一下
回复此楼
6楼
2012-05-16 14:24:34
已阅
回复此楼
关注TA
给TA发消息
送TA红花
TA的回帖
Jason-wong
至尊木虫
(职业作家)
应助: 160
(高中生)
金币: 12867
帖子: 4121
在线: 640.9小时
虫号: 1707318
引用回帖:
5楼
:
Originally posted by
wulidianzi
at 2012-05-16 14:22:21:
可以利用干涉的峰峰值解调出宽度,看看是不是跟SEM测试的结果一致啊?这样的干涉条纹,感觉还是挺好的啊!
这个怎么和SEM测试结果比较?是指截面厚度吗?
赞
一下
回复此楼
7楼
2012-05-16 14:24:39
已阅
回复此楼
关注TA
给TA发消息
送TA红花
TA的回帖
王致远
金虫
(著名写手)
应助: 5
(幼儿园)
金币: 2080.3
帖子: 1283
在线: 202小时
虫号: 1503408
★
小木虫: 金币+0.5, 给个红包,谢谢回帖
楼主的薄膜长在什么上呀? 就是衬底是什么? 薄膜如果很平的话,会产生干涉,衬底如果很平的话,也会产生干涉。
赞
一下
回复此楼
8楼
2012-06-05 21:22:45
已阅
回复此楼
关注TA
给TA发消息
送TA红花
TA的回帖
Jason-wong
至尊木虫
(职业作家)
应助: 160
(高中生)
金币: 12867
帖子: 4121
在线: 640.9小时
虫号: 1707318
引用回帖:
8楼
:
Originally posted by
王致远
at 2012-06-05 21:22:45
楼主的薄膜长在什么上呀? 就是衬底是什么? 薄膜如果很平的话,会产生干涉,衬底如果很平的话,也会产生干涉。
是石英玻璃片。
回复此楼
9楼
2012-06-06 09:02:42
已阅
回复此楼
关注TA
给TA发消息
送TA红花
TA的回帖
dxf930
金虫
(正式写手)
应助: 0
(幼儿园)
金币: 4700.3
帖子: 361
在线: 383.7小时
虫号: 968672
★
小木虫: 金币+0.5, 给个红包,谢谢回帖
请问透过光是什么颜色的阿? 震荡越多说明你镀膜越厚!
[ 发自手机版 http://muchong.com/3g ]
赞
一下
回复此楼
10楼
2012-12-09 00:52:33
已阅
回复此楼
关注TA
给TA发消息
送TA红花
TA的回帖
oliver0606
铜虫
(小有名气)
应助: 2
(幼儿园)
金币: 118.7
帖子: 60
在线: 43.3小时
虫号: 1675702
★
小木虫: 金币+0.5, 给个红包,谢谢回帖
引用回帖:
10楼
:
Originally posted by
dxf930
at 2012-12-09 00:52:33
请问透过光是什么颜色的阿? 震荡越多说明你镀膜越厚!
他这个测试的透射率随着波长的变化的,因此透过光在不断改变波长。我也觉得应该就是薄膜比较厚干涉造成的。
赞
一下
回复此楼
11楼
2012-12-09 11:15:25
已阅
回复此楼
关注TA
给TA发消息
送TA红花
TA的回帖
oliver0606
铜虫
(小有名气)
应助: 2
(幼儿园)
金币: 118.7
帖子: 60
在线: 43.3小时
虫号: 1675702
你的薄膜有多厚啊,这个关系还是很大的
赞
一下
回复此楼
12楼
2012-12-09 11:15:53
已阅
回复此楼
关注TA
给TA发消息
送TA红花
TA的回帖
Jason-wong
至尊木虫
(职业作家)
应助: 160
(高中生)
金币: 12867
帖子: 4121
在线: 640.9小时
虫号: 1707318
引用回帖:
12楼
:
Originally posted by
oliver0606
at 2012-12-09 11:15:53
你的薄膜有多厚啊,这个关系还是很大的
薄膜厚度在960-1200nm之间。
赞
一下
回复此楼
13楼
2012-12-09 12:41:04
已阅
回复此楼
关注TA
给TA发消息
送TA红花
TA的回帖
oliver0606
铜虫
(小有名气)
应助: 2
(幼儿园)
金币: 118.7
帖子: 60
在线: 43.3小时
虫号: 1675702
★ ★ ★ ★
小木虫: 金币+0.5, 给个红包,谢谢回帖
Jason-wong: 金币+2, 谢谢
2012-12-11 10:17:22
Jason-wong: 金币+1
2012-12-12 17:29:00
引用回帖:
13楼
:
Originally posted by
Jason-wong
at 2012-12-09 12:41:04
薄膜厚度在960-1200nm之间。...
那就应该是干涉产生的了,你可以简单用干涉相消公式计算一下。
赞
一下
回复此楼
14楼
2012-12-10 18:57:44
已阅
回复此楼
关注TA
给TA发消息
送TA红花
TA的回帖
Jason-wong
至尊木虫
(职业作家)
应助: 160
(高中生)
金币: 12867
帖子: 4121
在线: 640.9小时
虫号: 1707318
引用回帖:
14楼
:
Originally posted by
oliver0606
at 2012-12-10 18:57:44
那就应该是干涉产生的了,你可以简单用干涉相消公式计算一下。...
是干涉,我在文章中也这样写的,也查到了相关文献。
赞
一下
回复此楼
16楼
2012-12-11 10:17:10
已阅
回复此楼
关注TA
给TA发消息
送TA红花
TA的回帖
简单回复
su-b08
15楼
2012-12-11 09:27
回复
相关版块跳转
材料综合
材料工程
微米和纳米
晶体
金属
无机非金属
生物材料
功能材料
复合材料
我要订阅楼主
Jason-wong
的主题更新
16
1/1
返回列表
如果回帖内容含有宣传信息,请如实选中。否则帐号将被全论坛禁言
普通表情
龙
兔
虎
猫
高级回复
(可上传附件)
百度网盘
|
360云盘
|
千易网盘
|
华为网盘
在新窗口页面中打开自己喜欢的网盘网站,将文件上传后,然后将下载链接复制到帖子内容中就可以了。
信息提示
关闭
请填处理意见
关闭
确定