²é¿´: 1559  |  »Ø¸´: 2

jb_zrj

Í­³æ (СÓÐÃûÆø)

[ÇóÖú] ±ÊÖ±µÄ°ëµ¼ÌåIV²âÊÔÇúÏß¡£¡£¡£ÎªÊ²Ã´£¿£¨ÇóÖú°ëµ¼Ìåרҵͬѧ£©

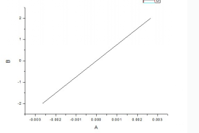
ÎÒ²»ÊÇѧ°ëµ¼ÌåµÄ£¬Òò´ËÒÉ»óÁË~ÎÒµÄÑùÆ·×öIV²âÊÔ£¬½á¹ûÊDZÊÖ±µÄ£¬ÑùÆ·ÊÇÀàËÆÓÚ²ôÔӵĹ衣µç×è500 ¦¸¡£ÕÛËãÏÂÀ´Æ½¾ùµÄµç×èÂÊ£¬¿ÉÄÜÓÐ10^4 ¦¸*cm£¬Õâ¸öÁ¿¼¶~
°ëµ¼ÌåµÄµç×èÂÊ¿ÉÄÜÊDZÊÖ±µÄô£¿ÎªÊ²Ã´£¿
»Ø¸´´ËÂ¥

» ÊÕ¼±¾ÌûµÄÌÔÌûר¼­ÍƼö

¿ÆÑС¢Í¶¸åÖпÉÄÜÓöµ½µÄСÎÊÌâ

» ²ÂÄãϲ»¶

» ±¾Ö÷ÌâÏà¹Ø¼ÛÖµÌùÍÆ¼ö£¬¶ÔÄúͬÑùÓаïÖú:

ÒÑÔÄ   »Ø¸´´ËÂ¥   ¹Ø×¢TA ¸øTA·¢ÏûÏ¢ ËÍTAºì»¨ TAµÄ»ØÌû

lidx0269

½ð³æ (ÖøÃûдÊÖ)

ATRP ÛÏ»ù/¶þÁò ÄÉÃ×½ð


¡¾´ð°¸¡¿Ó¦Öú»ØÌû

¡ï
¸Ðл²ÎÓ룬ӦÖúÖ¸Êý +1
jb_zrj: ½ð±Ò+1 2012-05-13 00:46:50
ÎÒ²»ÊÇѧ°ëµ¼ÌåµÄ£¬µ«¿ÉÒÔ¿´³ö£¬Õâ¸öµç×èµÄ×èÖµºÜÎȶ¨¡£

[ ·¢×ÔÊÖ»ú°æ http://muchong.com/3g ]
2Â¥2012-05-12 07:07:47
ÒÑÔÄ   »Ø¸´´ËÂ¥   ¹Ø×¢TA ¸øTA·¢ÏûÏ¢ ËÍTAºì»¨ TAµÄ»ØÌû

meteorabob

Í­³æ (ÕýʽдÊÖ)

¡¾´ð°¸¡¿Ó¦Öú»ØÌû

¡ï ¡ï
¸Ðл²ÎÓ룬ӦÖúÖ¸Êý +1
jb_zrj: ½ð±Ò+2, ¡ïÓаïÖú 2012-05-13 00:45:29
°ëµ¼ÌåµÄµçÁ÷µçѹÇúÏßÔÚÊÔÑùºÍµç¼«ÎªÅ·Ä·½Ó´¥Ê±Ò»°ã¾ÍÊÇÊÇÕâÑùµÄ£¬¾ÍÊÇÒ»¸öµç×裬µ±ÎªÐ¤ÌØ»ù½Ó´¥Ê±µçÁ÷µçѹÇúÏ߲Ų»ÊÇÖ±Ïß¡£
¿ÉÄܲ»×¼È·£¬¹©Äã²Î¿¼£¡
3Â¥2012-05-12 13:39:07
ÒÑÔÄ   »Ø¸´´ËÂ¥   ¹Ø×¢TA ¸øTA·¢ÏûÏ¢ ËÍTAºì»¨ TAµÄ»ØÌû
Ïà¹Ø°æ¿éÌø×ª ÎÒÒª¶©ÔÄÂ¥Ö÷ jb_zrj µÄÖ÷Ìâ¸üÐÂ
×î¾ßÈËÆøÈÈÌûÍÆ¼ö [²é¿´È«²¿] ×÷Õß »Ø/¿´ ×îºó·¢±í
[˶²©¼ÒÔ°] ÊÛSCIÒ»ÇøÎÄÕ£¬ÎÒ:8 O5 51O 54,¿ÆÄ¿ÆëÈ«,¿É+¼± +4 8rmuugja8q 2026-02-22 8/400 2026-02-23 12:22 by alian_214
[»ù½ðÉêÇë] ÌåÖÆÄÚ³¤±²ËµÌåÖÆÄÚ¾ø´ó²¿·ÖÒ»±²×ÓÔڵײ㣬ÈçͬÄãÃÇÒ»Ñù´ó²¿·ÖÆÕͨ½ÌʦæÇÒÊÕÈëµÍ +10 ˲ϢÓîÖæ 2026-02-20 13/650 2026-02-23 11:23 by holypower
[¿¼ÑÐ] ÊÛSCIÒ»ÇøÎÄÕ£¬ÎÒ:8 O5 51O 54,¿ÆÄ¿ÆëÈ«,¿É+¼± +3 khieu8v8m0 2026-02-22 8/400 2026-02-23 09:35 by w4l55oybr1
[ÂÛÎÄͶ¸å] ÊÛSCIÒ»ÇøÎÄÕ£¬ÎÒ:8 O5 51O 54,¿ÆÄ¿ÆëÈ«,¿É+¼± +4 khieu8v8m0 2026-02-22 8/400 2026-02-23 09:29 by w4l55oybr1
[¿¼ÑÐ] ÊÛSCIÒ»ÇøÎÄÕ£¬ÎÒ:8 O5 51O 54,¿ÆÄ¿ÆëÈ«,¿É+¼± +5 usprnugpzw 2026-02-21 11/550 2026-02-23 09:24 by w4l55oybr1
[ÂÛÎÄͶ¸å] ÊÛSCIÒ»ÇøÎÄÕ£¬ÎÒ:8 O5 51O 54,¿ÆÄ¿ÆëÈ«,¿É+¼± +3 w89i99eaeh 2026-02-22 5/250 2026-02-23 08:04 by w4l55oybr1
[²©ºóÖ®¼Ò] ÊÛSCIÒ»ÇøÎÄÕ£¬ÎÒ:8 O5 51O 54,¿ÆÄ¿ÆëÈ«,¿É+¼± +4 khieu8v8m0 2026-02-22 6/300 2026-02-23 07:59 by w4l55oybr1
[²©ºóÖ®¼Ò] ÊÛSCIÒ»ÇøÎÄÕ£¬ÎÒ:8 O5 51O 54,¿ÆÄ¿ÆëÈ«,¿É+¼± +6 3dfhjxgsh7 2026-02-22 9/450 2026-02-23 07:49 by w4l55oybr1
[¿¼²©] ÊÛSCIÒ»ÇøÎÄÕ£¬ÎÒ:8 O5 51O 54,¿ÆÄ¿ÆëÈ«,¿É+¼± +4 khieu8v8m0 2026-02-22 4/200 2026-02-23 06:46 by jsjzfl
[¹«Åɳö¹ú] ÊÛSCIÒ»ÇøÎÄÕ£¬ÎÒ:8 O5 51O 54,¿ÆÄ¿ÆëÈ«,¿É+¼± +3 khieu8v8m0 2026-02-22 5/250 2026-02-23 06:29 by w4l55oybr1
[˶²©¼ÒÔ°] ÊÛSCIÒ»ÇøÎÄÕ£¬ÎÒ:8 O5 51O 54,¿ÆÄ¿ÆëÈ«,¿É+¼± +4 khieu8v8m0 2026-02-22 8/400 2026-02-23 06:24 by w4l55oybr1
[¿¼²©] ÊÛSCIÒ»ÇøÎÄÕ£¬ÎÒ:8 O5 51O 54,¿ÆÄ¿ÆëÈ«,¿É+¼± +5 3dfhjxgsh7 2026-02-22 6/300 2026-02-23 02:04 by 5jlh3qtdvx
[½Ìʦ֮¼Ò] °æÃæ·Ñ¸Ã½»Âð +7 Æ»¹ûÔÚÄÄÀï 2026-02-22 8/400 2026-02-22 22:37 by otani
[»ù½ðÉêÇë] ÃæÉÏ¿ÉÒÔ³¬¹ý30Ò³°É£¿ +4 °¢À­¹±aragon 2026-02-22 4/200 2026-02-22 21:22 by ɽÎ÷Ðü¿ÕË¿ÕÐüÎ
[ÂÛÎÄͶ¸å] ÊÛSCIÒ»ÇøÎÄÕ£¬ÎÒ:8 O5 51O 54,¿ÆÄ¿ÆëÈ«,¿É+¼± +4 usprnugpzw 2026-02-21 6/300 2026-02-22 19:48 by w89i99eaeh
[ÕÒ¹¤×÷] ÊÛSCIÒ»ÇøÎÄÕ£¬ÎÒ:8 O5 51O 54,¿ÆÄ¿ÆëÈ«,¿É+¼± +3 usprnugpzw 2026-02-22 3/150 2026-02-22 16:37 by khieu8v8m0
[¹«Åɳö¹ú] ÊÛSCIÒ»ÇøÎÄÕ£¬ÎÒ:8 O5 51O 54,¿ÆÄ¿ÆëÈ«,¿É+¼± +3 usprnugpzw 2026-02-21 4/200 2026-02-22 16:27 by khieu8v8m0
[»ù½ðÉêÇë] ¡°ÈËÎÄÉç¿Æ¶øÂÛ£¬Ðí¶àѧÊõÑо¿»¹Ã»ÓдﵽÃñ¹úʱÆÚµÄˮƽ¡± +4 ËÕ¶«ÆÂ¶þÊÀ 2026-02-18 5/250 2026-02-22 16:07 by liangep1573
[»ù½ðÉêÇë] ʲôÊÇÈËÒ»Éú×îÖØÒªµÄ£¿ +4 ˲ϢÓîÖæ 2026-02-21 4/200 2026-02-22 11:44 by huagongfeihu
[»ù½ðÉêÇë] ½ñÄê´ºÍíÓм¸¸ö½ÚÄ¿ºÜ²»´í£¬µãÔÞ£¡ +11 ˲ϢÓîÖæ 2026-02-16 12/600 2026-02-21 21:14 by lq493392203
ÐÅÏ¢Ìáʾ
ÇëÌî´¦ÀíÒâ¼û