| ²é¿´: 1494 | »Ø¸´: 5 | ||
liuyueruľ³æ (ÕýʽдÊÖ)
|
[½»Á÷]
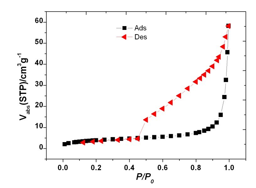
¡¾Çë½Ì¡¿ÎªÊ²Ã´²âÊÔµÄ΢¿×,MOF µÄN2Îü¸½ÇúÏß²»ÊÇ I-type ¹¹ÐÍÄØ£¿£¿£¿ ÒÑÓÐ5È˲ÎÓë
|
» ±¾Ö÷ÌâÏà¹Ø¼ÛÖµÌùÍÆ¼ö£¬¶ÔÄúͬÑùÓаïÖú:
ÇâÑõȼÁÏµç³ØÒõ¼«´ß»¯¼ÁµÄÑ»··ü°²²âÊÔ
ÒѾÓÐ13È˻ظ´
silica gel H type 60 ÊÇʲôÒâ˼£¿
ÒѾÓÐ4È˻ظ´
Çó¸÷ÖÖÔ×ÓÎüÊÕ±ê×¼ÇúÏßµÄÅäÖ÷½·¨°¡ »òÕßÓÐÊéÍÆ¼ö
ÒѾÓÐ18È˻ظ´
ÇëÎÊ´ó¼ÒDSCÇúÏßÉÏ·åµÄÁ½²à¸ß¶È²»Í¬
ÒѾÓÐ14È˻ظ´
¹ØÓÚoriginÇúÏßÄâºÏ
ÒѾÓÐ6È˻ظ´
Ì«ÑôÄÜµç³ØIVÇúÏßÔʼÊý¾Ý´¦Àí
ÒѾÓÐ5È˻ظ´
Æ½ÃæÇúÏߺÍÇúÃæÉϵÄÇúÏß¶¼¿ÉÒÔ³ÆÎªÊǶþάµÄÂð£¿
ÒѾÓÐ5È˻ظ´
ÇóÎÊÔõô¼ø±ð»¯Ñ§Îü¸½Ó뻯ѧ³É¼ü£¿
ÒѾÓÐ12È˻ظ´
N2Îü¸½-ÍѸ½ÇúÏß϶ËÇúÏß²»ÖغÏ
ÒѾÓÐ1È˻ظ´
¡¾ÇóÖú¡¿N2Îü¸½Î¢¿×ÈÝ»ý·ÖÎö
ÒѾÓÐ3È˻ظ´
¡¾ÇóÖú¡¿N2ÎüÍѸ½ÇúÏßÖÐÈçºÎ·Ö±ð¼ÆËã΢¿×Ãæ»ýºÍ½é¿×Ãæ»ýÄØ
ÒѾÓÐ17È˻ظ´
liuyueru
ľ³æ (ÕýʽдÊÖ)
- Ó¦Öú: 3 (Ó×¶ùÔ°)
- ½ð±Ò: 1959
- É¢½ð: 332
- ºì»¨: 3
- Ìû×Ó: 512
- ÔÚÏß: 201.1Сʱ
- ³æºÅ: 445818
- ×¢²á: 2007-10-28
- ÐÔ±ð: MM
- רҵ: ÎÞ»ú²ÄÁÏ»¯Ñ§
2Â¥2010-12-27 15:29:29
zhangyan02
ľ³æ (ÕýʽдÊÖ)
- Ó¦Öú: 0 (Ó×¶ùÔ°)
- ½ð±Ò: 3700.6
- Ìû×Ó: 842
- ÔÚÏß: 262.1Сʱ
- ³æºÅ: 586586
- ×¢²á: 2008-08-15
- ÐÔ±ð: MM
- רҵ: ·ÖÀë¹ý³Ì
¡ï
Сľ³æ(½ð±Ò+0.5):¸ø¸öºì°ü£¬Ð»Ð»»ØÌû½»Á÷
Сľ³æ(½ð±Ò+0.5):¸ø¸öºì°ü£¬Ð»Ð»»ØÌû½»Á÷
| ΪʲôûÓÐH-KµÄ¿×¾¶·ÖÎö½á¹ûÄØ?ÓпÉÄÜÄãµÄ¿×̫СÁË, N2²»ºÏÊÊ... |

3Â¥2011-01-02 10:38:54
xhtangxh
ľ³æ (ÖøÃûдÊÖ)
ÓÐľÓгæ
- CMEI: 6
- Ó¦Öú: 773 (²©ºó)
- ½ð±Ò: 17832.4
- ºì»¨: 107
- Ìû×Ó: 2676
- ÔÚÏß: 599.3Сʱ
- ³æºÅ: 428580
- ×¢²á: 2007-08-04
- רҵ: ´ß»¯»¯Ñ§
¡ï
Сľ³æ(½ð±Ò+0.5):¸ø¸öºì°ü£¬Ð»Ð»»ØÌû½»Á÷
Сľ³æ(½ð±Ò+0.5):¸ø¸öºì°ü£¬Ð»Ð»»ØÌû½»Á÷
| ¿ÖÅÂÄãµÄÑùÆ·¿×µÀÊÇ·â±ÕµÄ°É£¿ÊDz»ÊÇ¿×ÄÚÓÐÎü¸½ÎïÕ¼¾Ý£¬ÈçÈܼÁ£¿ |
4Â¥2011-01-03 10:56:43
legendlee
½ð³æ (СÓÐÃûÆø)
- Ó¦Öú: 5 (Ó×¶ùÔ°)
- ½ð±Ò: 1091.8
- ºì»¨: 1
- Ìû×Ó: 205
- ÔÚÏß: 200Сʱ
- ³æºÅ: 457719
- ×¢²á: 2007-11-12
- ÐÔ±ð: GG
- רҵ: Óлú½ðÊô»¯Ñ§

5Â¥2013-01-15 18:15:19
iaknankai
ľ³æ (ÕýʽдÊÖ)
²»ÖªµÀ
- Ó¦Öú: 62 (³õÖÐÉú)
- ½ð±Ò: 1954.3
- É¢½ð: 15
- ºì»¨: 5
- Ìû×Ó: 475
- ÔÚÏß: 680Сʱ
- ³æºÅ: 1199961
- ×¢²á: 2011-02-07
- רҵ: Åäλ»¯Ñ§

6Â¥2013-01-15 22:05:43














»Ø¸´´ËÂ¥