24小时热门版块排行榜    

北京石油化工学院2026年研究生招生接收调剂公告
查看: 983  |  回复: 2

zijingniao

金虫 (小有名气)

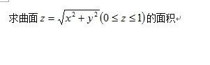
[求助] 求助一个第一型曲面积分的计算

求高手帮忙,谢谢!
回复此楼

» 猜你喜欢

» 本主题相关价值贴推荐,对您同样有帮助:

已阅   回复此楼   关注TA 给TA发消息 送TA红花 TA的回帖

草心肉

铁虫 (正式写手)

【答案】应助回帖

★ ★
感谢参与,应助指数 +1
zijingniao: 金币+2, ★★★很有帮助 2012-05-09 22:11:33
sqrt{2}\pi

根号2 派
2楼2012-05-09 21:19:26
已阅   回复此楼   关注TA 给TA发消息 送TA红花 TA的回帖

soliton923

铁杆木虫 (职业作家)

数学村村长

【答案】应助回帖

★ ★ ★
感谢参与,应助指数 +1
zijingniao: 金币+3, ★★★★★最佳答案 2012-05-09 22:11:40


[ Last edited by soliton923 on 2012-5-9 at 21:24 ]
soliton;sato-theory;algebre-geometry;Random-Matrices-Theory; Riemann-Hilbert method
3楼2012-05-09 21:22:32
已阅   回复此楼   关注TA 给TA发消息 送TA红花 TA的回帖
相关版块跳转 我要订阅楼主 zijingniao 的主题更新
最具人气热帖推荐 [查看全部] 作者 回/看 最后发表
[考研] 286求调剂 +3 丢掉懒惰 2026-03-27 6/300 2026-03-27 23:46 by barnett0632
[考研] 275求调剂 +10 Micky11223 2026-03-25 13/650 2026-03-27 22:42 by Micky11223
[考研] 070300化学求调剂 +4 起个名咋这么难 2026-03-27 4/200 2026-03-27 21:39 by 83503孙老师
[考研] 266分求材料化工冶金矿业等专业的调剂 +4 哇呼哼呼哼 2026-03-26 4/200 2026-03-27 17:02 by zhyzzh
[考研] 一志愿南师大0703化学 275求调剂 +4 Ripcord上岸 2026-03-27 4/200 2026-03-27 17:00 by zhyzzh
[考研] 一志愿 西北大学 总分282 英语一62 求调剂 +7 18419759900 2026-03-25 8/400 2026-03-27 16:38 by 18419759900
[考研] 材料与化工085600,总分304,本科有两篇sci参与,求调剂 +10 幸运的酱酱 2026-03-22 12/600 2026-03-27 16:08 by muchong357
[考研] 一志愿北化085600材料专硕275|有文章专利|求调剂 +3 Micky11223 2026-03-25 3/150 2026-03-27 14:52 by 醉在风里
[考研] 085600,材料与化工321分,求调剂 +9 大馋小子 2026-03-27 9/450 2026-03-27 14:30 by mmm just
[考研] 材料求调剂 +8 @taotao 2026-03-21 8/400 2026-03-27 11:21 by wangjy2002
[考研] 276求调剂。有半年电池和半年高分子实习经历 +10 材料学257求调剂 2026-03-23 11/550 2026-03-27 10:13 by YCIT- LHL
[考研] 336材料求调剂 +7 陈滢莹 2026-03-26 9/450 2026-03-27 00:20 by wxiongid
[考研] 349求调剂 +4 李木子啊哈哈 2026-03-25 4/200 2026-03-26 22:49 by fmesaito
[考研] 333求调剂 +7 87639 2026-03-21 12/600 2026-03-26 22:08 by 不吃魚的貓
[考研] 297求调剂 +6 田洪有 2026-03-26 6/300 2026-03-26 15:55 by 不吃魚的貓
[考研] 263求调剂 +6 yqdszhdap- 2026-03-22 10/500 2026-03-26 13:11 by 公瑾逍遥
[考研] 086003食品工程求调剂 +6 淼淼111 2026-03-24 6/300 2026-03-25 10:29 by 3Strings
[考研] 318求调剂 +5 plum李子 2026-03-21 8/400 2026-03-25 09:26 by aa331100
[考研] 上海电力大学材料防护与新材料重点实验室招收调剂研究生(材料、化学、电化学,环境) +4 我爱学电池 2026-03-23 4/200 2026-03-25 00:59 by 1027_324
[考研] 一志愿070300浙大化学358分,求调剂! +4 酥酥鱼.. 2026-03-21 4/200 2026-03-23 08:12 by Iveryant
信息提示
请填处理意见