| 查看: 2711 | 回复: 1 | |
[求助]
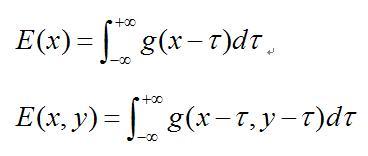
如何求常数与一个函数的反卷积
|
|
![]() |
|
|
|
|
![]() |
|
|
2楼2012-05-04 08:49:20
|
|














回复此楼