| 查看: 308 | 回复: 1 | |
[求助]
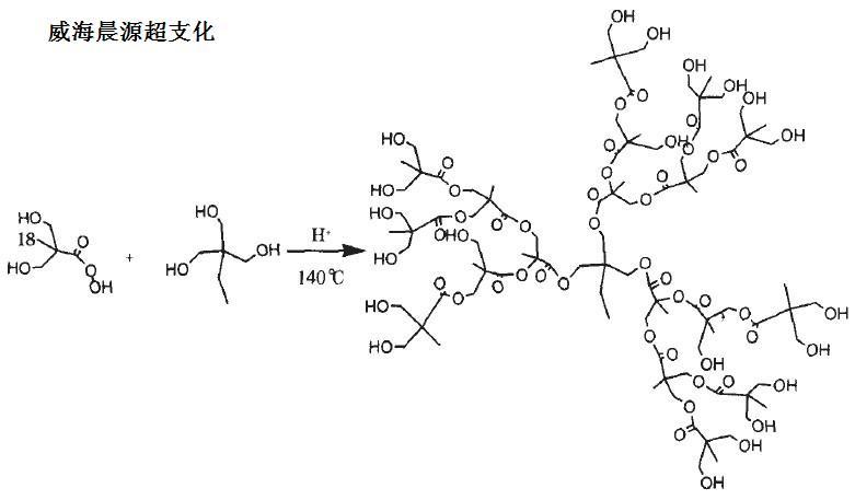
有谁在做Boltorn型超支化聚酯呢
|
|
![]() |
|
|
|
|
![]() |
|
|
2楼2012-04-28 11:01:47
|
|













回复此楼

