| 查看: 1071 | 回复: 0 | ||
[求助]
《算法导论》中红黑树删除结点的伪代码没看明白
|
|
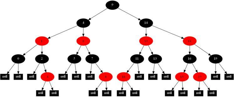
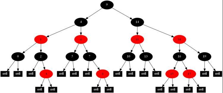
伪代码如下,见图1,图2 删除的结点是z,我的疑问是RB-DELETE-FIXUP(T, x)中的x到底指向什么,请懂的人就下面一个图给我解释下就行了。我自己是越看越晕。根据这个博客http://blog.csdn.net/v_JULY_v/article/details/6284050 下面这个图是属于case1的。但是我觉得x指向第一幅图的right[13],然后再往下看RB-DELETE-FIXUP(T, x)就不对劲了。 下面是删除结点12,图3是原图,图4是删除后的图,就这两个图和伪代码给我解释下好了,主要是解释x,y在RB-DELETE(T, z)和RB-DELETE-FIXUP(T, x)分别指向哪个结点 图1 图2 图3 图4 [ 来自科研家族 哲学人生 ] |
» 猜你喜欢
读博
已经有5人回复
到新单位后,换了新的研究方向,没有团队,持续积累2区以上论文,能申请到面上吗
已经有13人回复
博士申请都是内定的吗?
已经有6人回复
之前让一硕士生水了7个发明专利,现在这7个获批发明专利的维护费可从哪儿支出哈?
已经有5人回复
博士读完未来一定会好吗
已经有29人回复
投稿精细化工
已经有4人回复
高职单位投计算机相关的北核或SCI四区期刊推荐,求支招!
已经有4人回复
导师想让我从独立一作变成了共一第一
已经有9人回复
心脉受损
已经有5人回复
Springer期刊投稿求助
已经有4人回复

找到一些相关的精华帖子,希望有用哦~
英语好的TX帮忙看看我论文修改后给主编的信有没有问题?
已经有4人回复
下载重要文件时提醒有病毒直接删除,怎么才能把文件下载下来呢?
已经有9人回复
区长为什么删除我的帖子?
已经有9人回复
青基排版格式的-括号内的内容删除了没?急啊
已经有4人回复
中科院的申请联合培养,英语六级都没过,有戏吗?
已经有8人回复
修稿中审稿专家要求considerly shorten论文,修改时可以删除一部分内容吗?
已经有4人回复
2004年两道数学题没弄明白,有知道的帮忙说下,谢谢了!
已经有3人回复
填写香港的FORM ID990a 有几个地方不明白
已经有4人回复
青年基金申请书正文行间距及自动生成的各章节括号内说明内容能否删除等问题
已经有8人回复
不太明白“技术开发”和“信息调研”两个职位的区别?能帮忙解释一下吗?
已经有26人回复
大家进来帮看看这句话啥意思啊,硬是没明白!
已经有3人回复
科研从小木虫开始,人人为我,我为人人













回复此楼
点击这里搜索更多相关资源