| 查看: 285 | 回复: 2 | |
maomao1210金虫 (正式写手)
|
[求助]
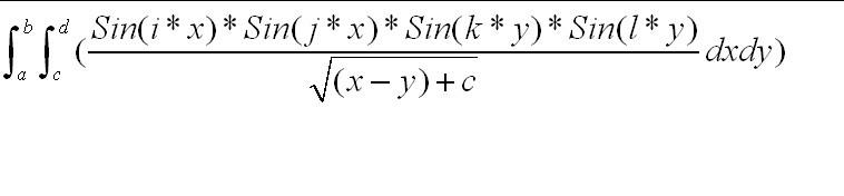
请教一下,这个积分能解析求出来嘛?
|
|
|
|
xiuyouxu铁杆木虫 (职业作家)
|
|
![]() |
|
|
2楼2012-04-13 17:12:05
|
|
xiuyouxu铁杆木虫 (职业作家)
|
|
![]() |
|
|
3楼2012-04-13 20:10:57
|
|














回复此楼

10