版块导航
正在加载中...
客户端APP下载
论文辅导
申博辅导
登录
注册
帖子
帖子
用户
本版
应《网络安全法》要求,自2017年10月1日起,未进行实名认证将不得使用互联网跟帖服务。为保障您的帐号能够正常使用,请尽快对帐号进行手机号验证,感谢您的理解与支持!
24小时热门版块排行榜
>
论坛更新日志
(3705)
>
虫友互识
(468)
>
文献求助
(410)
>
导师招生
(292)
>
休闲灌水
(230)
>
考博
(148)
>
博后之家
(137)
>
硕博家园
(77)
>
招聘信息布告栏
(74)
>
论文投稿
(72)
>
论文道贺祈福
(38)
>
外文书籍求助
(28)
>
绿色求助(高悬赏)
(25)
>
SciFinder/Reaxys
(24)
>
考研
(24)
>
有机交流
(23)
小木虫论坛-学术科研互动平台
»
化学化工区
»
电化学
»
光电池和光电化学
»
固态电解质EIS图~~
3
1/1
返回列表
查看: 4226 | 回复: 2
只看楼主
@他人
存档
新回复提醒
(忽略)
收藏
在APP中查看
jaychoudai
木虫
(小有名气)
应助: 0
(幼儿园)
金币: 2988
帖子: 79
在线: 37.4小时
虫号: 1611268
[交流]
固态电解质EIS图~~
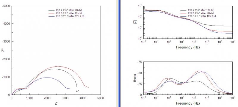
我用不锈钢电极/固态电解质/不锈钢电极这个体系测EIS
(1)我测的纯的分子塑晶固态电解质,没加碘和碘化物的阻抗图如图1,这应该就是阻塞电极标准的图了吧,但是阻抗非常大,为什么纯的也有这样的图? 不是没有离子在里面吗?
(2)然后就是我的四个加入碘和碘化物氧化还原电对的不同配比的样品,做好电极后,就进行测试的图是图2
做好的电极体系放了12小时候测试是图3
12小时候阻值明显变小,但是前面有一个小半圆后面一个大半圆,怎么会这样?
这两个半圆的意思是什么啊?阻塞电极不应该是一个高频大半圆加一个低频斜线吗?我倒是能在很低的频率扫出来斜线,斜线和大半圆相交的很厉害。文献上的阻塞电极测固态电解质的等效电路如图4。
扫描范围10^5~10^-2
求解!!!
图1 纯分子塑晶,不加电对
图2 加电对,制成电极体系后就测试
图3 加电对,电极体系静置12小时后测试
图4 文献中阻塞电极测固态电解质的等效电路,出来是一个高频大半圆加一个低频斜线
[
Last edited by jaychoudai on 2012-4-10 at 11:36
]
回复此楼
» 猜你喜欢
推荐给教师的一本单词书《金鱼单词讲义:从26个拉丁字母到106万个英语单词》
已经有33人回复
核磁分析软件MestReNova打开文件时报错
已经有0人回复
分析化学论文润色/翻译怎么收费?
已经有117人回复
在职博后不能申请博后基金了,那么在职博后意义何在?
已经有2人回复
青岛大学化学化工学院分子测量学研究院2026年招收博士研究生
已经有0人回复
香港科技大学(广州)诚招电催化方向博士生(2026秋入学)
已经有0人回复
求助Cu2+1O的CIF文件(PDF: 05-0667)
已经有1人回复
KAUST(阿卜杜拉国王科技大学)MXene 器件方向博士后招聘
已经有0人回复
沙特阿拉伯阿卜杜拉国王科技大学(KAUST)电池方向博士后招聘
已经有0人回复
» 本主题相关商家推荐:
(我也要在这里推广)
高级回复
» 本主题相关价值贴推荐,对您同样有帮助:
交流阻抗谱测量聚合物电解质的电导率,应该如何处理数据
已经有10人回复
阻抗谱求电导率求助
已经有3人回复
凝胶电解质技术进展
已经有11人回复
LiSP固态电解质
已经有6人回复
全固态锂电池中电极/电解质界面处的空间电荷层
已经有4人回复
固态锂离子电解质 (全固态锂离子电池用) 2013最新研究进展
已经有233人回复
固态电解质的导电率测 四电极和两电极、三电极测试装置有什么不同
已经有6人回复
染料敏化太阳能电池
已经有11人回复
DSC电池阻抗拟合
已经有14人回复
请问测试膜的抗腐蚀性能需要做什么测试?
已经有10人回复
染料敏化天阳能电池长期稳定性测试方法
已经有1人回复
请问有谁测过锂离子的迁移数啊,普通锂离子电池电解液中锂离子的迁移数
已经有4人回复
求助:如何测固体材料的离子电导率和电子电导率
已经有4人回复
锂离子电池用固态电解质膜,在测试电导率的时候用什么模拟电池?哪里有卖啊??
已经有11人回复
» 抢金币啦!回帖就可以得到:
查看全部散金贴
坐标济南,来碰碰运气
+
1
/446
上海科技大学物质科学与技术学院|王平鸾课题组长期招聘(博后/博硕/科研助理)
+
1
/172
成会明院士团队|钱希堂(国家青年人才)招博后啦!二维材料和固态电池
+
1
/82
供应德国EXAKT艾卡特半导体导热散热材料三辊研磨机50 PLUS
+
1
/81
上海科技大学物质科学与技术学院|王平鸾课题组长期招聘(博后/博硕/科研助理)
+
1
/72
26博士申请-药物化学方向
+
2
/62
华中科技大学郭睿副教授建筑与能源科学课题组诚招博士研究生(2026.1.19截止)
+
1
/50
深圳信息职业技术大学-博后招聘(优秀可留校)
+
1
/28
骨生物材料与侗药调控类器官再生湖南省普通高等学校重点实验室主任团队招聘了
+
5
/25
山东理工大学资源与环境工程学院陶东平教授课题组招收2026级博士研究生
+
1
/17
香港科技大学 招生 2026 Fall全奖博士 -- 机械/电子/材料/化学
+
1
/15
浙江大学赵俊杰课题组长期招聘博士后及科研相关岗位启事
+
1
/12
河南师范大学科研助理岗位招聘
+
1
/6
博士后招聘(高薪40万+)
+
1
/6
【博士后/科研助理招聘-北京理工大学-集成电路与电子学院-国家杰青团队】
+
1
/5
【招聘】西北农林科技大学罗自卫组招聘合成生物学与代谢工程研究方向青年教师/博士后
+
1
/5
2026南京林业大学化学工程学院招收化学/材料研究背景申请考核博士生1名
+
1
/4
2026 博士自荐-机器人机构学方向
+
1
/3
中国科学院大学-杨晗课题组-诚聘-博士后、副研究员
+
1
/3
[招募] 上海交通大学环境健康课题组科研实习生(环境健康与生物学大数据方向)
+
1
/1
1楼
2012-04-10 10:21:06
已阅
回复此楼
关注TA
给TA发消息
送TA红花
TA的回帖
quasi9127
木虫
(正式写手)
应助: 2
(幼儿园)
金币: 2411.7
帖子: 611
在线: 356.4小时
虫号: 771259
★
小木虫: 金币+0.5, 给个红包,谢谢回帖
楼主,你的那个文献是哪一篇啊?可否告知
12小时后电极会不会被腐蚀啊?产生交换电阻了?
赞
一下
回复此楼
2楼
2012-04-23 20:45:24
已阅
回复此楼
关注TA
给TA发消息
送TA红花
TA的回帖
可口七喜姑娘
新虫
(初入文坛)
应助: 1
(幼儿园)
金币: 17.4
帖子: 18
在线: 5.2小时
虫号: 2767969
★
小木虫: 金币+0.5, 给个红包,谢谢回帖
文献中的等效电路图和你做的不一样,你的等效电路图不能用原文献中的
赞
一下
回复此楼
3楼
2014-04-11 11:04:57
已阅
回复此楼
关注TA
给TA发消息
送TA红花
TA的回帖
相关版块跳转
有机交流
有机资源
高分子
无机/物化
分析
催化
工艺技术
化工设备
石油化工
精细化工
电化学
环境
SciFinder/Reaxys
我要订阅楼主
jaychoudai
的主题更新
3
1/1
返回列表
如果回帖内容含有宣传信息,请如实选中。否则帐号将被全论坛禁言
普通表情
龙
兔
虎
猫
高级回复
(可上传附件)
百度网盘
|
360云盘
|
千易网盘
|
华为网盘
在新窗口页面中打开自己喜欢的网盘网站,将文件上传后,然后将下载链接复制到帖子内容中就可以了。
信息提示
关闭
请填处理意见
关闭
确定