| 查看: 1799 | 回复: 2 | ||
[求助]
求解非线性偏微分方程?
|
|
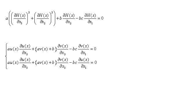
附件中,a、b、c为常数; H(x)、u(x) 、v(x) 均为关于x1 、x2 、x3 的函数。 请问上面的第一个偏微分方程属于哪一类偏微分方程?能求出解析解吗? 第二个偏微分方程组能求出u(x),v(x)的解析解吗?怎么求?非常感谢! |
» 猜你喜欢
» 本主题相关价值贴推荐,对您同样有帮助:
Matlab求解偏微分方程组
已经有22人回复
关于菲克第二定律中的数学求解问题!
已经有4人回复
【求助】MATLAB 有限差分法(FDM)求解偏微分方程
已经有22人回复
【求助】求助非线性偏微分方程求解
已经有3人回复
【分享】mathcad教程大集合(共8本)【已搜索无重复】
已经有30人回复
【分享】PDECOL-经典数值求解非线性偏微分方程组源程序
已经有142人回复

2楼2020-05-01 14:54:20
3楼2020-05-24 11:54:19














回复此楼