| 查看: 681 | 回复: 4 | |||
[求助]
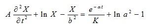
二阶微分方程求解?
|
|||
|
|
|||
shengjunjie木虫 (正式写手)
|
|||
![]() |
|||
|
2楼2012-04-16 13:26:02
|
|
||
dbb627荣誉版主 (著名写手)
|
|||
![]() |
|||
|
3楼2012-04-16 14:08:22
|
|
||
|
感谢参与,应助指数 +1
|
|||
|
4楼2012-04-16 21:31:19
|
|
||
|
5楼2012-04-27 08:46:17
|
|














回复此楼


6