| ²é¿´: 2938 | »Ø¸´: 23 | |||
| ±¾Ìû²úÉú 1 ¸ö ICEPI £¬µã»÷ÕâÀï½øÐв鿴 | |||
lakeocean½ð³æ (СÓÐÃûÆø)
|
[ÇóÖú]
¼±£¡Çó½â´ðFe2+ºÍFe3+Ç¿³¡ºÍÈõ³¡µÄ¾§Ì峡Îȶ¨»¯ÄÜÎÊÌ⣡
|
||
|
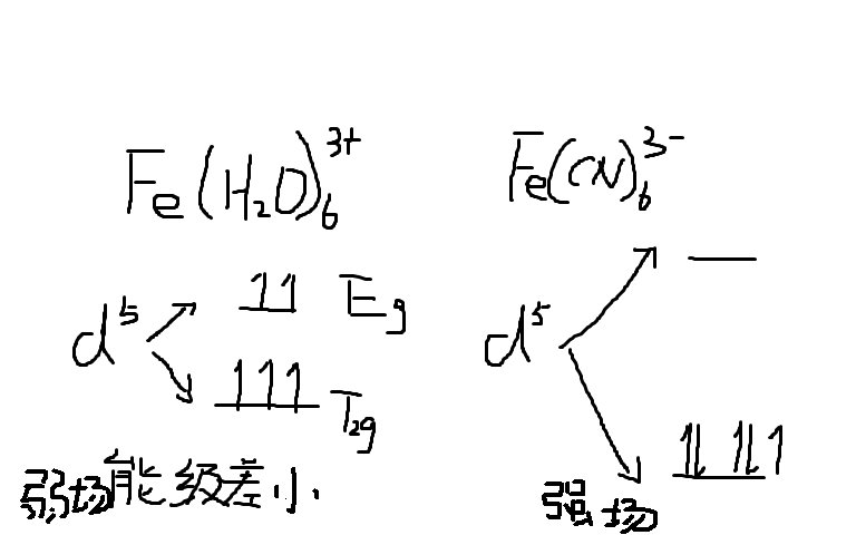
¾§Ì峡Îȶ¨»¯ÄÜ×î´óµÄÊÇ£º A¡¢[Fe(H2O)6]2+; B¡¢[Fe(H2O)6]3+; C¡¢[Fe(CN)6]3-; D¡¢[Fe(CN)6]4-; Çó´ð°¸ºÍ½âÊÍ£¡ лл£¡ |
» ²ÂÄãϲ»¶
Î人·ÄÖ¯´óѧ-²ÄÁÏ¿ÆÑ§Ó빤³ÌѧԺ-½ªÎ°½ÜÇàÍŶÓ-ÕÐÉúÎï·½Ïòµ÷¼Á
ÒѾÓÐ0È˻ظ´
Î人·ÄÖ¯´óѧ-²ÄÁÏ¿ÆÑ§Ó빤³ÌѧԺ-ÕÐ ÉúÎï·½Ïò ˶ʿ£¡
ÒѾÓÐ0È˻ظ´
Óлú¸ß·Ö×Ó²ÄÁÏÂÛÎÄÈóÉ«/·ÒëÔõôÊÕ·Ñ?
ÒѾÓÐ203È˻ظ´
Î人·ÄÖ¯´óѧ-²ÄÁÏ¿ÆÑ§Ó빤³ÌѧԺ-½ªÎ°½ÜÇàÍŶÓ-ÕÐÉúÎï·½Ïòµ÷¼Á
ÒѾÓÐ0È˻ظ´
[Î人·ÄÖ¯´óѧ]²ÄÁÏѧԺ[½ªÎ°ÍŶÓÃû³Æ]¿ÎÌâ×é-2026Äê˶ʿÑо¿Éúµ÷¼ÁÐÅÏ¢
ÒѾÓÐ0È˻ظ´
Î人·ÄÖ¯´óѧ-²ÄÁÏ¿ÆÑ§Ó빤³ÌѧԺ-½ªÎ°½ÜÇàÍŶÓ-Õе÷¼Á
ÒѾÓÐ0È˻ظ´
ÉúÎïҽѧ²ÄÁÏÇ°ÑØ¿ÆÆÕ£ºµÍÃܶȡ¢¸ß¿×϶Âʵġ°¶à¿×΢Çò¡±ºËÐļ¼ÊõÓëÓ¦ÓÃÈ«¾°
ÒѾÓÐ1È˻ظ´
ºþÄϹ¤Òµ´óѧÖܹóÒú×éÕÐÉúÎïҽѧ¹¤³Ì£¨Ñ§Ë¶07¡¢08¶¼ÐУ©¡¢ÉúÎïÓëÒ½Ò©£¨×¨Ë¶08£©Ë¶Ê¿Éú
ÒѾÓÐ0È˻ظ´
ºþÄϹ¤Òµ´óѧÖܹóÒú×éÕÐÉúÎïҽѧ¹¤³Ì£¨Ñ§Ë¶07¡¢08¶¼ÐУ©ºÍÉúÎïÓëÒ½Ò©£¨×¨Ë¶08£©Ë¶Ê¿Éú
ÒѾÓÐ0È˻ظ´
¿¼ÑÐÇóµ÷¼Á
ÒѾÓÐ0È˻ظ´
2026ÄêÖÐÄÏÃñ×å´óѧ»¯Ñ§Óë²ÄÁÏ¿ÆÑ§Ñ§Ôºµ÷¼Á¹«¸æ
ÒѾÓÐ30È˻ظ´
» ±¾Ö÷ÌâÏà¹Ø¼ÛÖµÌùÍÆ¼ö£¬¶ÔÄúͬÑùÓаïÖú:
¸÷λ´óÏÀ£¬ÈõÈõµÄÎÊÒ»¾ä×öºË´ÅºÃ¶à¶¼Ñ¡ë®´úÂÈ·Â
ÒѾÓÐ21È˻ظ´
¶þÁò¼ü´ò¿ªµÄÎÊÌâ
ÒѾÓÐ15È˻ظ´
Ïõ±½µØÆ½ºÏ³ÉÎÊÌâ
ÒѾÓÐ25È˻ظ´
ÈçºÎ´Ó̬ÃܶÈÅжϼüÖ®¼äÔÓ»¯Ç¿Èõ
ÒѾÓÐ15È˻ظ´
µ×ÎïÀ©Õ¹µÄÎÊÌâ
ÒѾÓÐ21È˻ظ´
Ïã¶¹ËØÖеÄË«¼üÎȶ¨Âð?
ÒѾÓÐ5È˻ظ´
¹ØÓڽṹÌմɵÄÎÊÌâ
ÒѾÓÐ8È˻ظ´
¹ØÓÚÆøÏàÉ«Æ×µÄ²â¶¨ÎÊÌâ
ÒѾÓÐ24È˻ظ´
¼±Çó°ïÖú£¡hplcÈܼÁ·åÎÊÌâ
ÒѾÓÐ19È˻ظ´
Ò»¸ö¼òµ¥µÄÎÊÌ⣺ODÖµ
ÒѾÓÐ5È˻ظ´
´ó¼ÒÓÐûÓÐÊÔ¹ýÓð±»ùËá×öÅäÌ壬ÓÃË®ÈÈ·¨ºÏ³É¾§ÌåµÄ¾ÑéÄØ£¿½»Á÷һϰɣ¿
ÒѾÓÐ17È˻ظ´
ÓйØ304²»Ðâ¸Ö¹ÜÈÈ´¦ÀíÓ²¶ÈµÄÎÊÌ⣬Çë´óÏÀ°ïæ·ÖÎö
ÒѾÓÐ10È˻ظ´
½ô¼±ÇóÖúword2007ҳüҳÂëÎÊÌ⣬ҳü¾ÓÖУ¬Ò³Âë×ó»òÓÒ¶ÔÆë
ÒѾÓÐ5È˻ظ´
¹ØÓÚ±¨¿¼ÎÀÉú¾ÖÊÂÒµµ¥Î»µÄһЩÎÊÌ⣬¼±Çó~~~~~
ÒѾÓÐ4È˻ظ´
¹ØÓÚZIFÎÊÌâÇóÖú
ÒѾÓÐ3È˻ظ´
µÚÒ»¹ý¶Éϵ´Ó×óµ½ÓÒ¶þ¼ÛÀë×ÓË®ºÏìʿ۳ý¾§Ì峡Îȶ¨»¯ÄÜÒÔºó±ä»¯Ç÷ÊÆ·ÖÎö
ÒѾÓÐ7È˻ظ´
¡¾ÇóÖú¡¿ÇëÎʾ§Ì峡ÀíÂÛÈçºÎ½âÊÍÅäºÏÎïµÄÑÕÉ«£¿
ÒѾÓÐ4È˻ظ´
×ÓÔø¾Ô»¹ý
ľ³æ (ÕýʽдÊÖ)
- ICEPI: 2
- Ó¦Öú: 19 (СѧÉú)
- ½ð±Ò: 3625.4
- ºì»¨: 4
- Ìû×Ó: 338
- ÔÚÏß: 441.3Сʱ
- ³æºÅ: 1225702
- ×¢²á: 2011-03-08
- רҵ: Ó¦Óø߷Ö×Ó»¯Ñ§ÓëÎïÀí
¡¾´ð°¸¡¿Ó¦Öú»ØÌû
¡ï ¡ï ¡ï ¡ï ¡ï ¡ï ¡ï ¡ï ¡ï
¸Ðл²ÎÓ룬ӦÖúÖ¸Êý +1
fds329: ½ð±Ò+3, ICEPI+1, ¸ÐлӦÖú¡£ÐÁ¿àÁËO(¡É_¡É)O 2012-04-06 13:14:55
¼ûÖ¤2011: ½ð±Ò+1, ¸ÐлӦÖú£¡»¶Ó³£À´£¡ 2012-04-06 14:30:24
lakeocean: ½ð±Ò+5, ¡ï¡ï¡ïºÜÓаïÖú, ǰ±ß˵µÄ²»Õ¦µÎ£¬ºó±ß»ØÌû˵µÄ»¹ÊÇͦºÃµÄ£¬Ð»Ð»£¡ 2012-04-06 20:05:35
¸Ðл²ÎÓ룬ӦÖúÖ¸Êý +1
fds329: ½ð±Ò+3, ICEPI+1, ¸ÐлӦÖú¡£ÐÁ¿àÁËO(¡É_¡É)O 2012-04-06 13:14:55
¼ûÖ¤2011: ½ð±Ò+1, ¸ÐлӦÖú£¡»¶Ó³£À´£¡ 2012-04-06 14:30:24
lakeocean: ½ð±Ò+5, ¡ï¡ï¡ïºÜÓаïÖú, ǰ±ß˵µÄ²»Õ¦µÎ£¬ºó±ß»ØÌû˵µÄ»¹ÊÇͦºÃµÄ£¬Ð»Ð»£¡ 2012-04-06 20:05:35
|
¸ù¾Ý¾§Ì峡ÀíÂÛ£¬ÔÚ°ËÃæÌåÅäºÏÎïÖУ¬d¹ìµÀ·ÖÁÑΪÄÜÁ¿½ÏµÍµÄ3¸öT2g¹ìµÀºÍÄÜÁ¿½Ï¸ßµÄ2¸öEg¹ìµÀ¡£ÔÚ3¸öµç×Ó·Ö±ðÕ¼¾Ý3¸öT2g¹ìµÀºó£¬µÚËĸöµç×ÓÓÐÁ½ÖÖÌî³ä·½Ê½£¬Ò»ÖÖÊǵç×ӳɶÔÄܽϴó¶øÅäÌ峡½ÏС£¬´ËʱµÚËĸöµç×Ó½øÈëEg¹ìµÀ£¬´ËʱÎȶ¨»¯ÄÜCFSEΪ3*£¨-4£©+1*6=-6Dq£»ÁíÒ»ÖÖÇé¿öÏ£¬ÅäÌ峡ºÜÇ¿£¬µÚËĸöµç×Ó¿Ë·þµç×ӳɶÔÄÜ£¬½øÈëÒÑÓÐÒ»¸öµç×ÓµÄT2g¹ìµÀ£¬CFSE=-16Dq+P£» ÌâÖУ¬CN-ÊÇÇ¿³¡ÅäÌ壨·ÖÁÑÄÜΪ1.7£©£¬Ïà±ÈÓÚCN-£¬H2O¿ÉÒÔËãÊÇÈõ³¡ÅäÌ壨·ÖÁÑÄÜΪ1.0£©¡£ËùÒÔCN-ÅäºÏÎïµÄCFSEÒ»¶¨±ÈH2OµÄ´ó¡£¶ø¶þ¼ÛÌúΪd6½á¹¹£¬ÆäCFSE=-20+2P,Èý¼ÛÌúΪd5£¬CFSE=-24+3P¡£ËùÒÔ˵Fe£¨CN£©6µÄÎȶ¨»¯ÄÜ×î´ó¡£ÎÒ»Á˸öÈý¼ÛÌúµÄµç×ÓÅŲ¼£¬¶þ¼ÛÌúµÄ¿ÉÒÔÀàÍÆ£¬Ï£Íû¶ÔÄãÓаïÖú¡£ |

2Â¥2012-04-06 12:40:40
¹·×Ó¸ç¸ç
Ìú³æ (ÕýʽдÊÖ)
- ICEPI: 9
- Ó¦Öú: 154 (¸ßÖÐÉú)
- ½ð±Ò: 1768.4
- É¢½ð: 350
- ºì»¨: 6
- Ìû×Ó: 563
- ÔÚÏß: 195.6Сʱ
- ³æºÅ: 861153
- ×¢²á: 2009-10-01
- ÐÔ±ð: GG
- רҵ: ¾üʼ¼Êõ
3Â¥2012-04-06 12:45:02
×ÓÔø¾Ô»¹ý
ľ³æ (ÕýʽдÊÖ)
- ICEPI: 2
- Ó¦Öú: 19 (СѧÉú)
- ½ð±Ò: 3625.4
- ºì»¨: 4
- Ìû×Ó: 338
- ÔÚÏß: 441.3Сʱ
- ³æºÅ: 1225702
- ×¢²á: 2011-03-08
- רҵ: Ó¦Óø߷Ö×Ó»¯Ñ§ÓëÎïÀí

4Â¥2012-04-06 12:47:36
¹·×Ó¸ç¸ç
Ìú³æ (ÕýʽдÊÖ)
- ICEPI: 9
- Ó¦Öú: 154 (¸ßÖÐÉú)
- ½ð±Ò: 1768.4
- É¢½ð: 350
- ºì»¨: 6
- Ìû×Ó: 563
- ÔÚÏß: 195.6Сʱ
- ³æºÅ: 861153
- ×¢²á: 2009-10-01
- ÐÔ±ð: GG
- רҵ: ¾üʼ¼Êõ
5Â¥2012-04-06 12:51:14
fds329
ÈÙÓþ°æÖ÷ (ÎÄ̳¾«Ó¢)
Óã´óÉô
-

ר¼Ò¾Ñé: +1536 - ICEPI: 10
- Ó¦Öú: 207 (´óѧÉú)
- ¹ó±ö: 6.842
- ½ð±Ò: 59178.4
- É¢½ð: 21817
- ºì»¨: 261
- ɳ·¢: 156
- Ìû×Ó: 46404
- ÔÚÏß: 2171.7Сʱ
- ³æºÅ: 538323
- ×¢²á: 2008-04-02
- רҵ: ÎÞ»ú»¯Ñ§
- ¹ÜϽ: ÎÞ»ú/Îﻯ
6Â¥2012-04-06 12:58:26
×ÓÔø¾Ô»¹ý
ľ³æ (ÕýʽдÊÖ)
- ICEPI: 2
- Ó¦Öú: 19 (СѧÉú)
- ½ð±Ò: 3625.4
- ºì»¨: 4
- Ìû×Ó: 338
- ÔÚÏß: 441.3Сʱ
- ³æºÅ: 1225702
- ×¢²á: 2011-03-08
- רҵ: Ó¦Óø߷Ö×Ó»¯Ñ§ÓëÎïÀí

7Â¥2012-04-06 12:59:51
×ÓÔø¾Ô»¹ý
ľ³æ (ÕýʽдÊÖ)
- ICEPI: 2
- Ó¦Öú: 19 (СѧÉú)
- ½ð±Ò: 3625.4
- ºì»¨: 4
- Ìû×Ó: 338
- ÔÚÏß: 441.3Сʱ
- ³æºÅ: 1225702
- ×¢²á: 2011-03-08
- רҵ: Ó¦Óø߷Ö×Ó»¯Ñ§ÓëÎïÀí

8Â¥2012-04-06 13:02:27
Î÷Î÷ºÜ¿ÉÁ¯
½û³æ (ÎÄ̳¾«Ó¢)
Ê®ÒÚ¹âÄêÅàÓŰàѧί¡ª¡ªÎ÷Î÷
- ICEPI: 16
- Ó¦Öú: 385 (˶ʿ)
- ¹ó±ö: 1.832
- ½ð±Ò: 78
- É¢½ð: 12009
- ºì»¨: 80
- ɳ·¢: 5
- Ìû×Ó: 12361
- ÔÚÏß: 551.8Сʱ
- ³æºÅ: 1229647
- ×¢²á: 2011-03-11
- ÐÔ±ð: GG
- רҵ: ÓлúºÏ³É

9Â¥2012-04-06 13:16:46
×ÓÔø¾Ô»¹ý
ľ³æ (ÕýʽдÊÖ)
- ICEPI: 2
- Ó¦Öú: 19 (СѧÉú)
- ½ð±Ò: 3625.4
- ºì»¨: 4
- Ìû×Ó: 338
- ÔÚÏß: 441.3Сʱ
- ³æºÅ: 1225702
- ×¢²á: 2011-03-08
- רҵ: Ó¦Óø߷Ö×Ó»¯Ñ§ÓëÎïÀí

10Â¥2012-04-06 13:30:46














»Ø¸´´ËÂ¥