| 查看: 194 | 回复: 2 | |
暖麦木虫 (正式写手)
|
[求助]
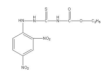
急求单晶结构数据!
|
|
|
|
|
2楼2012-04-05 21:13:34
|
|
暖麦木虫 (正式写手)
|
|
|
3楼2012-04-06 14:47:35
|
|













回复此楼