| 查看: 603 | 回复: 2 | ||
[求助]
极化曲线和功率-Pd催化乙醇
|
|
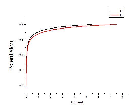
亲高手们,帮我解解!我做的是Pd催化乙醇的极化曲线。我想作出上图的曲线,可是我的I-E曲线确如下图(是用LSV从0.8V向0v扫得到的图),我作的是阴极极化,我想问下如何做?电位范围如何设?扫的方向如何?如何得到功率图?非常感谢! |
» 猜你喜欢
表哥与省会女结婚,父母去帮带孩子被省会女气回家生重病了
已经有12人回复
依托企业入选了国家启明计划青年人才。有无高校可以引进的。
已经有14人回复
江汉大学解明教授课题组招博士研究生/博士后
已经有3人回复
AI 太可怕了,写基金时,提出想法,直接生成的文字比自己想得深远,还有科学性
已经有11人回复
同年申请2项不同项目,第1个项目里不写第2个项目的信息,可以吗
已经有10人回复
依托企业入选了国家启明计划青年人才。有无高校可以引进的。
已经有11人回复
» 本主题相关价值贴推荐,对您同样有帮助:
极化曲线怎么修改数据点??
已经有10人回复
负载型Pd催化剂表面活性组分Pd的分散度测定
已经有10人回复
极化曲线的数据处理问题
已经有13人回复
腐蚀极化曲线分析求助,谢谢
已经有6人回复
腐蚀极化曲线不过0点是怎么回事?
已经有6人回复
请问如何由Tafel极化曲线求自腐蚀电流密度?
已经有20人回复
Pd催化剂需要还原么
已经有5人回复
【求助】关于催化剂Pd/C的问题
已经有6人回复
【求助】极化曲线中的这么多电流峰是怎么回事?
已经有23人回复
【求助】关于如何做好极化曲线!!
已经有4人回复

2楼2012-03-31 08:28:50
3楼2012-03-31 20:30:07













回复此楼
!谢谢啊!跪求高手啊