| 查看: 3281 | 回复: 0 | ||
[求助]
机翼剖面压力系数升力系数的计算
|
|
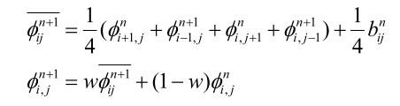
利用线性小扰动势方程: http:// 当马赫数等于0,0.5,0.75,2时,计算机翼剖面(上下表面)的压力系数,画出升力系数vs攻角曲线。 机翼剖面的几何结构: http:// 压力系数,升力系数定义: http:// http:// 利用SOR格式进行离散、迭代: 哪位大侠肯帮忙求解一下,并示以小弟matlab代码,有重谢! |
» 猜你喜欢
石墨烯转移--二氧化硅衬底石墨烯
已经有0人回复
笼目材料中量子自旋液体基态的证据
已经有0人回复
物理学I论文润色/翻译怎么收费?
已经有250人回复
数学教学论硕士可以读数学物理博士吗?
已经有0人回复
德国亥姆霍兹Hereon中心汉堡分部招镁合金腐蚀裂变SCC课题方向2026公派博士生
已经有4人回复
澳门大学 应用物理及材料工程研究院 潘晖教授课题组诚招博士后
已经有11人回复
求助NH4V4O10晶体的CIF文件
已经有0人回复
英国全奖博士招聘-深度学习与量子物理
已经有0人回复
间接带隙半导体有效质量求助
已经有1人回复
投稿chemical physical letters不送审?
已经有2人回复
南开大学物理学院张书辉副教授招收凝聚态物理理论方向博士生、硕士生
已经有4人回复

找到一些相关的精华帖子,希望有用哦~
seebeck系数计算的一些问题
已经有15人回复
关于利用MS计算线膨胀系数
已经有6人回复
四方晶系热膨胀系数的理论计算
已经有5人回复
计算一种氧化物,光吸收系数计算的光吸收边远大于能带带隙,求解释
已经有24人回复
有关冷却水喷淋换热系数的计算
已经有8人回复
DL-Poly计算的扩散系数
已经有6人回复
请计算过加静水压下体系的性质的高手帮忙看看-----加压下的压电系数
已经有10人回复
【求助】MUSIC的MD模块计算甲烷在IRMOF-1上的扩散系数
已经有11人回复
氧化系数的计算
已经有2人回复
【讨论】fluent中壁面传热系数计算结果脱离实际出奇大
已经有12人回复
【求助】如何计算实验数据与已知方程的相关系数?
已经有6人回复
【讨论】如何利用原子的运动轨迹计算扩散系数?
已经有15人回复
【求助】对流传热系数与温度的计算公式
已经有16人回复
【求助】交叉验证相关系数
已经有5人回复
科研从小木虫开始,人人为我,我为人人













回复此楼
点击这里搜索更多相关资源