| 查看: 304 | 回复: 0 | |
baihejerry木虫 (小有名气)
|
[求助]
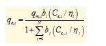
关于竞争性吸附系数的拟合
|
![]() |
|
|
|
|
|
找到一些相关的精华帖子,希望有用哦~
科研从小木虫开始,人人为我,我为人人
|













回复此楼

点击这里搜索更多相关资源