±±¾©Ê¯ÓÍ»¯¹¤Ñ§Ôº2026ÄêÑо¿ÉúÕÐÉú½ÓÊÕµ÷¼Á¹«¸æ
²é¿´: 379  |  »Ø¸´: 1

Êé½£Èç·ç

гæ (ÖøÃûдÊÖ)

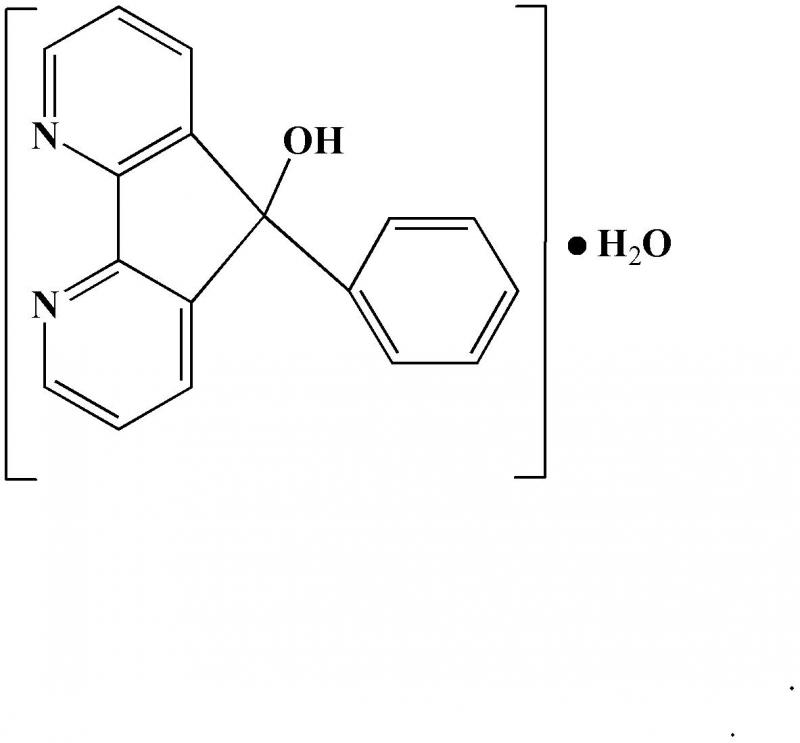
[ÇóÖú] Õâ¸öÓлúÎïÔõô¸ø¸÷¸öÔ­×ÓÐòºÅ

ÈçÌâ

ÈçºÎ¸ø¸÷¸öÔ­×ÓÅÅÐò£¿ºÏÊÊЩ£¿
»Ø¸´´ËÂ¥

» ²ÂÄãϲ»¶

» ±¾Ö÷ÌâÏà¹Ø¼ÛÖµÌùÍÆ¼ö£¬¶ÔÄúͬÑùÓаïÖú:

ÒÑÔÄ   ¹Ø×¢TA ¸øTA·¢ÏûÏ¢ ËÍTAºì»¨ TAµÄ»ØÌû

Êé½£Èç·ç

гæ (ÖøÃûдÊÖ)

ÎÊÌâÒѾ­½â¾ö
2Â¥2012-03-26 14:25:46
ÒÑÔÄ   ¹Ø×¢TA ¸øTA·¢ÏûÏ¢ ËÍTAºì»¨ TAµÄ»ØÌû
Ïà¹Ø°æ¿éÌø×ª ÎÒÒª¶©ÔÄÂ¥Ö÷ Êé½£Èç·ç µÄÖ÷Ìâ¸üÐÂ
×î¾ßÈËÆøÈÈÌûÍÆ¼ö [²é¿´È«²¿] ×÷Õß »Ø/¿´ ×îºó·¢±í
[¿¼ÑÐ] 264Çóµ÷¼Á +6 ÂóС¶£µ± 2026-04-07 6/300 2026-04-07 10:13 by Î޼ʵIJÝÔ­
[¿¼ÑÐ] 280Çóµ÷¼Á +6 Àîrien 2026-04-04 6/300 2026-04-07 08:34 by xihu1109
[¿¼ÑÐ] 296Çóµ÷¼Á +3 Íô£¡£¿£¡ 2026-04-05 4/200 2026-04-05 20:13 by à£à£à£0119
[¿¼ÑÐ] Ò»Ö¾Ô¸±±¾©½»Í¨´óѧ²ÄÁϹ¤³Ì×Ü·Ö358Çóµ÷¼Á +4 cs0106 2026-04-04 4/200 2026-04-05 18:46 by imissbao
[¿¼ÑÐ] 312Çóµ÷¼Á +3 Say Never 2026-04-04 3/150 2026-04-05 11:19 by guoweigw
[¿¼ÑÐ] 286Çóµ÷¼Á +3 ²Ýľ²»ÑÔ 2026-04-04 3/150 2026-04-04 22:40 by lbsjt
[¿¼ÑÐ] 333Çóµ÷¼Á +12 wfh030413@ 2026-04-03 13/650 2026-04-04 21:02 by jj987
[¿¼ÑÐ] 338Çóµ÷¼Á +7 êɹ¦? 2026-04-03 7/350 2026-04-04 20:37 by À¶ÔÆË¼Óê
[¿¼ÑÐ] ¡£ +5 ÎíÓ뺣 2026-04-02 6/300 2026-04-04 19:53 by À¶ÔÆË¼Óê
[¿¼ÑÐ] 342Çóµ÷¼Á +3 Liang7111 2026-04-04 5/250 2026-04-04 19:47 by dongzh2009
[¿¼ÑÐ] Çó²ÄÁϵ÷¼Á£¬Ò»Ö¾Ô¸Ö£ÖÝ´óѧ289·Ö +15 ˶ÐǸ° 2026-04-03 15/750 2026-04-04 01:01 by userper
[¿¼ÑÐ] ¿¼Ñе÷¼Á +8 ²»°®ºÈÒûÁÏ 2026-04-03 8/400 2026-04-03 16:40 by Mistake-J
[¿¼ÑÐ] ¹¤¿Æ 267Çóµ÷¼Á +5 wanwan00 2026-04-02 7/350 2026-04-03 14:14 by zhangdingwa
[¿¼ÑÐ] 283Çóµ÷¼Á +3 jiouuu 2026-04-03 4/200 2026-04-03 13:28 by jiouuu
[¿¼ÑÐ] 315·Ö 085602 Çóµ÷¼Á +15 26¿¼ÑÐÉϰ¶°æ26 2026-04-02 15/750 2026-04-03 12:45 by xingguangj
[¿¼ÑÐ] 266·Ö£¬Ò»Ö¾Ô¸µçÆø¹¤³Ì£¬±¾¿Æ²ÄÁÏ£¬Çó²ÄÁÏרҵµ÷¼Á +9 ÍÛºôºßºôºß 2026-04-02 9/450 2026-04-03 12:05 by 1753564080
[¿¼ÑÐ] 366Çóµ÷¼ÁÒ»Ö¾Ô¸¶«±±´óѧ +8 ÔËÆøÀ´µÃÈôÓÐËÆÎ 2026-04-02 8/400 2026-04-02 21:39 by dongzh2009
[¿¼ÑÐ] 267Çóµ÷¼Á +13 uiybh 2026-03-31 13/650 2026-04-01 10:25 by ̽123
[¿¼ÑÐ] ÍÁľ304Çóµ÷¼Á +5 ¶¥¼¶²Á²Á 2026-03-31 5/250 2026-04-01 08:15 by fdcxdystjk£¤
[¿¼ÑÐ] ¸´ÊÔµ÷¼Á +7 Ë«ÂíβƦÀϰå2 2026-03-31 7/350 2026-03-31 19:49 by Dyhoer
ÐÅÏ¢Ìáʾ
ÇëÌî´¦ÀíÒâ¼û