±±¾©Ê¯ÓÍ»¯¹¤Ñ§Ôº2026ÄêÑо¿ÉúÕÐÉú½ÓÊÕµ÷¼Á¹«¸æ
²é¿´: 1492  |  »Ø¸´: 7

memgr

Í­³æ (ÕýʽдÊÖ)

[ÇóÖú] ·Ö×ÓÓë½çÃæ¼Ð½Ç

ÎÒÄ£ÄâµÄÊDZíÃæ»îÐÔ¼Á·Ö×ÓÎü¸½ÔÚË®½çÃæÉÏ£¬¸÷λ֪µÀÔõôÇó±íÃæ»îÐÔ¼Á·Ö×ÓÓë½çÃæÖ®¼äµÄ¼Ð½ÇÂð£¿Ð»Ð»¸÷λ
»Ø¸´´ËÂ¥

» ²ÂÄãϲ»¶

» ±¾Ö÷ÌâÏà¹ØÉ̼ÒÍÆ¼ö: (ÎÒÒ²ÒªÔÚÕâÀïÍÆ¹ã)

» ±¾Ö÷ÌâÏà¹Ø¼ÛÖµÌùÍÆ¼ö£¬¶ÔÄúͬÑùÓаïÖú:

ÒÑÔÄ   »Ø¸´´ËÂ¥   ¹Ø×¢TA ¸øTA·¢ÏûÏ¢ ËÍTAºì»¨ TAµÄ»ØÌû

jiaoyixiong

ÈÙÓþ°æÖ÷ (Ö°Òµ×÷¼Ò)

¡¾´ð°¸¡¿Ó¦Öú»ØÌû

¡ï ¡ï ¡ï
¸Ðл²ÎÓ룬ӦÖúÖ¸Êý +1
Óù½£½­ºþ: ½ð±Ò+3, лл»ØÌû½»Á÷ 2012-03-28 19:44:30
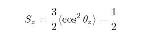
ÄãÊDz»ÊÇÇó order parameter £¿

½¨ÒéÄã²Î¿¼gromacs ÀïÃæµÄ g_order
¸ù¾ÝÏÂÃæµÄ¹«Ê½À´Ëã


[ Last edited by jiaoyixiong on 2012-3-25 at 19:09 ]

» ±¾ÌûÒÑ»ñµÃµÄºì»¨£¨×îÐÂ10¶ä£©

2Â¥2012-03-25 19:07:39
ÒÑÔÄ   »Ø¸´´ËÂ¥   ¹Ø×¢TA ¸øTA·¢ÏûÏ¢ ËÍTAºì»¨ TAµÄ»ØÌû

memgr

Í­³æ (ÕýʽдÊÖ)

ËÍÏÊ»¨Ò»¶ä
ÒýÓûØÌû:
2Â¥: Originally posted by jiaoyixiong at 2012-03-25 19:07:39:
ÄãÊDz»ÊÇÇó order parameter £¿

½¨ÒéÄã²Î¿¼gromacs ÀïÃæµÄ g_order
¸ù¾ÝÏÂÃæµÄ¹«Ê½À´Ëã
ee/96/1108016_1332673748_950.jpg

ÎÒÊÔ¹ýg_orderÕâÌõÃüÁµ«ÊÇÀÏÊÇÌáʾgrp 1 does not have same number of elements as grp 1£¬ÎÒÊÔ×ŰÑ̼Á´µÄµ¥¶Àд¸öË÷Òý£¬µ«Êǵõ½µÄ¿Õ°×Îļþ£¬ÊDz»ÊÇË÷ÒýÎļþÓÐÊ²Ã´ÌØÊâÒªÇó°¡£¿Ð»Ð»
3Â¥2012-03-28 18:16:09
ÒÑÔÄ   »Ø¸´´ËÂ¥   ¹Ø×¢TA ¸øTA·¢ÏûÏ¢ ËÍTAºì»¨ TAµÄ»ØÌû

jiaoyixiong

ÈÙÓþ°æÖ÷ (Ö°Òµ×÷¼Ò)

¡¾´ð°¸¡¿Ó¦Öú»ØÌû

¡ï ¡ï ¡ï ¡ï ¡ï
Óù½£½­ºþ: ½ð±Ò+2, лл»ØÌû½»Á÷ 2012-03-28 19:44:35
memgr: ½ð±Ò+3, ¡ï¡ï¡ïºÜÓаïÖú 2012-04-23 16:29:32
ÒýÓûØÌû:
3Â¥: Originally posted by memgr at 2012-03-28 18:16:09:
ÎÒÊÔ¹ýg_orderÕâÌõÃüÁµ«ÊÇÀÏÊÇÌáʾgrp 1 does not have same number of elements as grp 1£¬ÎÒÊÔ×ŰÑ̼Á´µÄµ¥¶Àд¸öË÷Òý£¬µ«Êǵõ½µÄ¿Õ°×Îļþ£¬ÊDz»ÊÇË÷ÒýÎļþÓÐÊ²Ã´ÌØÊâÒªÇó°¡£¿Ð»Ð»

ÊǵÄ
²Î¿¼http://www.gromacs.org/Documentation/Gromacs_Utilities/g_order
4Â¥2012-03-28 18:41:07
ÒÑÔÄ   »Ø¸´´ËÂ¥   ¹Ø×¢TA ¸øTA·¢ÏûÏ¢ ËÍTAºì»¨ TAµÄ»ØÌû

memgr

Í­³æ (ÕýʽдÊÖ)

ÒýÓûØÌû:
4Â¥: Originally posted by jiaoyixiong at 2012-03-28 18:41:07:
ÊǵÄ
²Î¿¼http://www.gromacs.org/Documentation/Gromacs_Utilities/g_order

°Â ¶®ÁË£¬µ«ÊÇ×ö³öÀ´µÄÊǽǶÈËæÊ±¼äµÄ±ä»¯£¬¿ÉÊÇÎÒÏë×ö½Ç¶ÈµÄÃܶȷֲ¼£¬¿ÉÒÔÓÃʲôÃüÁîʵÏÖÂð£¿Ð»Ð»
5Â¥2012-03-29 10:50:28
ÒÑÔÄ   »Ø¸´´ËÂ¥   ¹Ø×¢TA ¸øTA·¢ÏûÏ¢ ËÍTAºì»¨ TAµÄ»ØÌû
6Â¥2012-03-30 10:05:01
ÒÑÔÄ   »Ø¸´´ËÂ¥   ¹Ø×¢TA ¸øTA·¢ÏûÏ¢ ËÍTAºì»¨ TAµÄ»ØÌû

sdjisuan

Í­³æ (СÓÐÃûÆø)

ÒýÓûØÌû:
2Â¥: Originally posted by jiaoyixiong at 2012-03-25 19:07:39
ÄãÊDz»ÊÇÇó order parameter £¿

½¨ÒéÄã²Î¿¼gromacs ÀïÃæµÄ g_order
¸ù¾ÝÏÂÃæµÄ¹«Ê½À´Ëã

Èç¹ûÏëÒªÇóorder parameter£¬¹«Ê½¾ßÌåµÄÐÎʽÇëÎÊÊÇÔõÑùµÄ
Doit!
7Â¥2013-03-01 10:53:19
ÒÑÔÄ   »Ø¸´´ËÂ¥   ¹Ø×¢TA ¸øTA·¢ÏûÏ¢ ËÍTAºì»¨ TAµÄ»ØÌû

jiaoyixiong

ÈÙÓþ°æÖ÷ (Ö°Òµ×÷¼Ò)

¡¾´ð°¸¡¿Ó¦Öú»ØÌû

ÒýÓûØÌû:
7Â¥: Originally posted by sdjisuan at 2013-03-01 10:53:19
Èç¹ûÏëÒªÇóorder parameter£¬¹«Ê½¾ßÌåµÄÐÎʽÇëÎÊÊÇÔõÑùµÄ...

¶þÂ¥¸ø³öÁ˰¡£¡
¾ßÌåµÄ¿´¿´ÊÖ²á°É£¬ÊÖ²á¸üÏêϸ
8Â¥2013-03-01 14:47:34
ÒÑÔÄ   »Ø¸´´ËÂ¥   ¹Ø×¢TA ¸øTA·¢ÏûÏ¢ ËÍTAºì»¨ TAµÄ»ØÌû
Ïà¹Ø°æ¿éÌø×ª ÎÒÒª¶©ÔÄÂ¥Ö÷ memgr µÄÖ÷Ìâ¸üÐÂ
×î¾ßÈËÆøÈÈÌûÍÆ¼ö [²é¿´È«²¿] ×÷Õß »Ø/¿´ ×îºó·¢±í
[¿¼ÑÐ] Çóµ÷¼Á£º085600²ÄÁÏÓ뻯¹¤£¬¿¼²Ä¿Æ»ù£¬×Ü·Ö319 +20 678lucky 2026-03-31 24/1200 2026-04-04 13:38 by ´ÏÃ÷µÄ´óËÉÊó
[¿¼ÑÐ] 305Çóµ÷¼Á +3 77Qi 2026-04-03 3/150 2026-04-03 23:01 by qzxyhcsy
[¿¼ÑÐ] 320µ÷¼Á +4 ũҵ¹¤³ÌÓëÐÅÏ¢¼ 2026-04-03 4/200 2026-04-03 21:40 by lbsjt
[¿¼ÑÐ] 327Çóµ÷¼Á +9 С¿¨²»¿¨. 2026-03-29 9/450 2026-04-03 19:48 by °ÙÁéͯ888
[¿¼ÑÐ] Çóµ÷¼Á +8 akdhjs 2026-04-03 8/400 2026-04-03 18:17 by ´÷άING
[¿¼ÑÐ] 296Çóµ÷¼Á +4 sdhu 2026-04-02 4/200 2026-04-02 21:29 by baoball
[¿¼²©] ²ÄÁϹ¤³Ìרҵ˶ʿÉ격 +3 ÷ëÕýÓî 2026-03-30 3/150 2026-04-02 15:04 by greychen00
[¿¼ÑÐ] ³õÊÔ301£¬´úÂë085701»·¾³¹¤³Ì£¬±¾Ë¶Ò»Ö£¬ËÄÁù¼¶Òѹý£¬ÓжþÇøÒ»×÷£¬¹²·¢±í5ƪÂÛÎÄ +6 axibli 2026-04-01 6/300 2026-04-02 13:42 by Ecowxq666£¡
[¿¼ÑÐ] 286·Öµ÷¼Á +20 Faune 2026-03-30 22/1100 2026-04-02 13:24 by clyblh
[¿¼ÑÐ] 266·Ö£¬Ò»Ö¾Ô¸µçÆø¹¤³Ì£¬±¾¿Æ²ÄÁÏ£¬Çó²ÄÁÏרҵµ÷¼Á +4 ÍÛºôºßºôºß 2026-04-02 4/200 2026-04-02 13:10 by yulian1987
[¿¼ÑÐ] ²ÄÁϹ¤³Ì322·Ö +8 ¹þ¹þ¹þºðºðºð¹þ 2026-04-01 8/400 2026-04-02 11:53 by 3041
[¿¼ÑÐ] »¯Ñ§¹¤³Ìר˶324·Ö£¬Ò»Ö¾Ô¸Öйú¿óÒµ´óѧÇóµ÷¼Á +7 ¹¢¹¢1314 2026-04-01 7/350 2026-04-02 07:40 by ÉÐË®¸óÖ÷
[¿¼ÑÐ] ²ÄÁÏÇóµ÷¼Á +8 ÄØÄØÄÝÄÝ 2026-04-01 8/400 2026-04-02 07:13 by yjolah
[¿¼ÑÐ] ²ÄÁÏרҵµ÷¼Á +5 À²À²À²¿Þ 2026-03-31 6/300 2026-04-01 16:48 by JourneyLucky
[¿¼ÑÐ] 350Çóµ÷¼Á +7 °¢¼Ñ¡« 2026-03-31 7/350 2026-04-01 16:12 by yanflower7133
[¿¼ÑÐ] 070300»¯Ñ§×¨Òµ279µ÷¼Á +10 ¹þ¹þ¹þ^_^ 2026-03-31 10/500 2026-03-31 23:13 by liu823948201
[¿¼ÑÐ] 085601Ó¢¶þÊý¶þÇóµ÷¼Á ×Ü·Ö325 +4 Óຽº½ 2026-03-31 4/200 2026-03-31 17:38 by ÌÆãå¶ù
[¿¼ÑÐ] Ò»Ö¾Ô¸Äϲý´óѧ324Çóµ÷¼Á +6 hanamiko 2026-03-29 6/300 2026-03-31 16:35 by hypershenger
[¿¼ÑÐ] 313Çóµ÷¼Á +6 Âô¸ö¹Ø×Ó°É 2026-03-31 6/300 2026-03-31 10:58 by Jaylen.
[¿¼ÑÐ] 274Çóµ÷¼Á +6 xiao°®Í¬Ñ§ 2026-03-30 6/300 2026-03-31 10:04 by cal0306
ÐÅÏ¢Ìáʾ
ÇëÌî´¦ÀíÒâ¼û