| 查看: 1396 | 回复: 4 | ||
hanxiang83银虫 (小有名气)
|
[求助]
有关矢量场的推导计算过程,求高手提点!
|
|
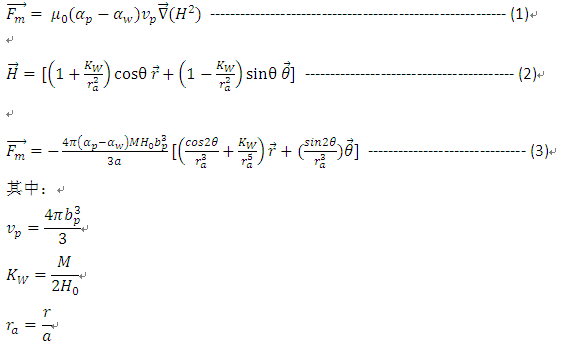
下面是文献给出的一段有关磁场力的计算过程,但我的计算结果和文献的结果有稍许不同,为了以防万一求高手给予推导过程,我看看到底是文献的问题还是我推导的问题!谢谢大家了! u0=4*pi*10^-7 [ Last edited by hanxiang83 on 2012-3-24 at 17:10 ] |
» 猜你喜欢
302分 085601求调剂推荐
已经有6人回复
318求调剂
已经有7人回复
生物学308分求调剂(一志愿华东师大)
已经有6人回复
0703化学调剂325分
已经有8人回复
生物工程求调剂
已经有5人回复
290求调剂085701
已经有10人回复
081700学硕,323分,一志愿中国海洋大学求调剂学校
已经有14人回复
求调剂
已经有3人回复
283分求调剂
已经有8人回复
295求调剂
已经有9人回复
» 本主题相关价值贴推荐,对您同样有帮助:
最激励人心的职场生存小说—《浮沉》第一部【转载】
已经有96人回复
求高手帮看看我的笔记本问题出在哪?
已经有6人回复
如何分窗体分别计算窗体中矢量图的面积比例
已经有3人回复
请高手指教微波一体化矢量网络分析仪测试材料电磁常数的方法
已经有6人回复
Abinit计算声子问题
已经有10人回复
知道ZnO纳米线单胞的晶格矢量及原子坐标,如何计算单胞的体积?
已经有8人回复
有奖交流:场发射扫描电镜和环扫的区别?
已经有10人回复
【资源】一个简单的计算色坐标的软件和其用法
已经有397人回复
【求助】关于MS软件中能带和态密度的计算问题
已经有8人回复
【求助】求助一个倒格子矢量的推导过程,谢谢!
已经有7人回复
【求助成功】supercell中DOS计算如何得到合理的电荷密度和波函数?
已经有3人回复
公派读博收到邀请信,请高手看看符不符合CSC的要求,期盼老海龟的回复?
已经有26人回复

cosmology
金虫 (正式写手)
- 物理EPI: 10
- 应助: 15 (小学生)
- 金币: 1411.3
- 红花: 1
- 帖子: 418
- 在线: 48.6小时
- 虫号: 230145
- 注册: 2006-03-26
- 性别: GG
- 专业: 基础物理学
2楼2012-03-24 18:50:46
hanxiang83
银虫 (小有名气)
- 应助: 0 (幼儿园)
- 金币: 263.7
- 散金: 13
- 红花: 1
- 帖子: 85
- 在线: 30.6小时
- 虫号: 656865
- 注册: 2008-11-18
- 性别: GG
- 专业: 化学反应工程

3楼2012-03-24 20:52:18
cosmology
金虫 (正式写手)
- 物理EPI: 10
- 应助: 15 (小学生)
- 金币: 1411.3
- 红花: 1
- 帖子: 418
- 在线: 48.6小时
- 虫号: 230145
- 注册: 2006-03-26
- 性别: GG
- 专业: 基础物理学
【答案】应助回帖
★ ★ ★ ★ ★ ★ ★ ★ ★ ★ ★ ★ ★ ★ ★ ★ ★ ★ ★ ★ ★ ★ ★ ★ ★ ★ ★ ★ ★ ★
感谢参与,应助指数 +1
hanxiang83: 金币+30, ★★★★★最佳答案 2012-03-26 09:34:04
感谢参与,应助指数 +1
hanxiang83: 金币+30, ★★★★★最佳答案 2012-03-26 09:34:04
» 本帖已获得的红花(最新10朵)
4楼2012-03-24 21:25:21
hanxiang83
银虫 (小有名气)
- 应助: 0 (幼儿园)
- 金币: 263.7
- 散金: 13
- 红花: 1
- 帖子: 85
- 在线: 30.6小时
- 虫号: 656865
- 注册: 2008-11-18
- 性别: GG
- 专业: 化学反应工程

5楼2012-03-26 11:16:04














回复此楼
hanxiang83
10