| 查看: 872 | 回复: 4 | ||
mike880102金虫 (著名写手)
|
[求助]
R软件的问题~求模型参数
|
|
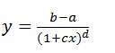
现有如下带有四个未知参数a、b、c、d 的模型,以及一组(x,y)的实测数据。 请问如何用R软件求出其中的a、b、c、d四个参数?并进行可靠性检验!谢谢 模型表达式 (x,y)实测数据 [ Last edited by mike880102 on 2012-3-22 at 17:18 ] |
» 猜你喜欢
博士延得我,科研能力直往上蹿
已经有8人回复
有院领导为了换新车,用横向课题经费买了俩车
已经有7人回复
酰胺脱乙酰基
已经有12人回复
同年申请2项不同项目,第1个项目里不写第2个项目的信息,可以吗
已经有4人回复
有时候真觉得大城市人没有县城人甚至个体户幸福
已经有10人回复
天津大学招2026.09的博士生,欢迎大家推荐交流(博导是本人)
已经有5人回复
CSC & MSCA 博洛尼亚大学能源材料课题组博士/博士后招生|MSCA经费充足、排名优
已经有6人回复
面上项目申报
已经有3人回复
遇见不省心的家人很难过
已经有22人回复
» 本主题相关价值贴推荐,对您同样有帮助:
lsqnonlin函数拟合微分方程组参数拟合问题
已经有10人回复
关于势函数的求助
已经有23人回复
snoopyzhao
至尊木虫 (职业作家)
- 程序强帖: 16
- 应助: 157 (高中生)
- 贵宾: 0.02
- 金币: 18844.7
- 红花: 29
- 帖子: 3803
- 在线: 1422.4小时
- 虫号: 183750
- 注册: 2006-02-13
- 专业: 污染生态化学
2楼2012-03-22 18:00:23
mike880102
金虫 (著名写手)
- 应助: 7 (幼儿园)
- 金币: 1512.4
- 散金: 666
- 红花: 24
- 帖子: 1329
- 在线: 287.6小时
- 虫号: 1167671
- 注册: 2010-12-11
- 性别: GG
- 专业: 土壤学
3楼2012-03-22 18:23:01
snoopyzhao
至尊木虫 (职业作家)
- 程序强帖: 16
- 应助: 157 (高中生)
- 贵宾: 0.02
- 金币: 18844.7
- 红花: 29
- 帖子: 3803
- 在线: 1422.4小时
- 虫号: 183750
- 注册: 2006-02-13
- 专业: 污染生态化学
4楼2012-03-22 19:37:09
mike880102
金虫 (著名写手)
- 应助: 7 (幼儿园)
- 金币: 1512.4
- 散金: 666
- 红花: 24
- 帖子: 1329
- 在线: 287.6小时
- 虫号: 1167671
- 注册: 2010-12-11
- 性别: GG
- 专业: 土壤学
5楼2012-03-23 22:25:01













回复此楼