| 查看: 3349 | 回复: 1 | |||
玉面小飞龙木虫 (著名写手)
|
[交流]
关于太阳能电池短路电流密度问题 已有1人参与
|
|
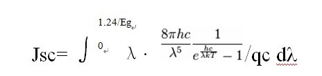
有谁利用过普朗克黑体辐射公式来计算太阳能电池短路电流密度的?为什么我用Matlab积分不出来呢?见下图积分公式,请教高手解决。 其中0是积分下限,1.24/Eg是上限。 [ Last edited by 玉面小飞龙 on 2012-3-20 at 22:29 ] |
» 猜你喜欢
323求调剂
已经有6人回复
一志愿北京化工大学 070300 学硕 336分 求调剂
已经有4人回复
352求调剂
已经有3人回复
一志愿东华大学化学070300,求调剂
已经有8人回复
277材料科学与工程080500求调剂
已经有7人回复
317求调剂
已经有18人回复
293求调剂
已经有5人回复
280分求调剂 一志愿085802
已经有7人回复
0854电子信息求调剂
已经有3人回复
263求调剂
已经有4人回复
» 本主题相关价值贴推荐,对您同样有帮助:
太阳能电池开路电压和短路电流都比较高,但填充因子低是怎么回事?
已经有20人回复
关于太阳能电池态密度和载流子复合问题
已经有8人回复
非晶硅太阳能电池的若干问题
已经有18人回复
有关太阳能电池伏安特性图的小白问题,为啥会有两种完全不一样的?
已经有9人回复
关于太阳能电池的暗电流,求指教~~~~~
已经有9人回复
急!!!急!!!!!!!!!!染料敏化太阳能电池中刷膜问题
已经有18人回复
【求助】如何能将开路电压和短路电流的半圆倒过来啊?
已经有12人回复
【专题】新一代电池走向全固态——电动车与定置式大尺寸电池的需求推动开发
已经有18人回复
【求助】太阳能电池的串并联问题
已经有9人回复
|
2楼2012-03-21 21:06:14













回复此楼