| ²é¿´: 1669 | »Ø¸´: 5 | |
kevin123581½ð³æ (ÕýʽдÊÖ)
|
[ÇóÖú]
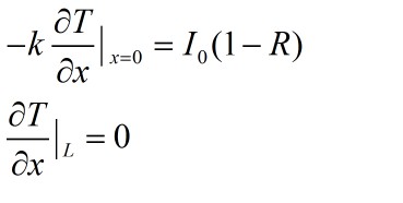
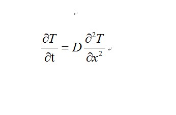
Âö³å¼¤¹â¼ÓÈȲÄÁϵı߽çÌõ¼þÎÊÌâ
|
|
|
|
luhai123ÖÁ×ðľ³æ (ÖøÃûдÊÖ)
|
|
![]() |
|
|
2Â¥2012-03-20 07:31:09
|
|
kevin123581½ð³æ (ÕýʽдÊÖ)
|
|
|
3Â¥2012-03-20 11:22:58
|
|
lvke_2008½ð³æ (СÓÐÃûÆø)
|
|
|
4Â¥2012-03-24 00:01:28
|
|
kevin123581½ð³æ (ÕýʽдÊÖ)
|
|
|
5Â¥2012-03-25 20:40:14
|
|
summerfox008гæ (ÕýʽдÊÖ)
|
|
|
6Â¥2016-06-16 10:36:31
|
|














»Ø¸´´ËÂ¥
