| 查看: 460 | 回复: 2 | ||
xsj2588木虫 (小有名气)
|
[求助]
judd-ofelt计算,还有金币!!!!
|
|
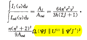
采用judd-ofelt理论计算稀土Eu的光谱参数,但是算来算去还是错的,我的是按照计算公式计算的,计算过程如下所示,希望大家能帮助我,看看问题出现在什么地方,文献中结果应该是在10的负20次方。多谢了! |
» 猜你喜欢
院士团队-每届学生都优秀-高自由度-团队氛围好
已经有0人回复
求调剂
已经有3人回复
无机化学论文润色/翻译怎么收费?
已经有286人回复
化工学院(学院正式调剂群+联系方式)
已经有0人回复
化工学院(学院官方群)-院士团队招生-学生自由度高-培养模式成熟高效
已经有0人回复
黑龙江大学分析化学招调剂
已经有0人回复
武汉高校国家级人才团队招收材料,化学,纺织等专业硕士调剂生
已经有26人回复
纺大化工学院(官方群)-院士团队招生-学生自由度高发展好-培养模式成熟
已经有0人回复
温州大学化材学院王娟课题组招生
已经有5人回复
学院官方群-院士团队招生-学生自由度高-培养模式成熟已有10余名学生赴985海外深造
已经有0人回复
武汉纺织大学化工学院官方群-院士团队招生-学生自由度高-10余名学生赴985海外深造
已经有0人回复
» 本主题相关价值贴推荐,对您同样有帮助:
搞第一性原理计算两年了,竟然被初学者给问倒了,发50金币征集意见!
已经有23人回复
请问有人知道怎样计算配合物基态的氧化电势,急用!如果解决了再送50金币
已经有11人回复
【求助】急求!!ATK计算中考虑库伦作用?有奖金币50+
已经有12人回复
【求助】10金币求LOD计算问题
已经有4人回复
【求助】大量金币求解决方法,角度的计算
已经有7人回复
【求助】VS2005数值计算程序调试【急求!!!!加金币】
已经有9人回复
【求助】重金悬赏 计算软件的几个问题,悬赏150个金币。
已经有11人回复
【求助】30金币急求 内空圆柱体电阻率的计算
已经有5人回复
【活动】各种量子力学计算软件使用经验谈(回复就有奖励,讲述详细的奖励5-10金币)
已经有30人回复
【求助】散金币求助,关于理论化学计算国家重点实验室
已经有17人回复

斑点猫
木虫 (正式写手)
- 应助: 8 (幼儿园)
- 金币: 3298.9
- 红花: 1
- 帖子: 683
- 在线: 94.9小时
- 虫号: 583575
- 注册: 2008-07-25
- 专业: 科技哲学/科技写作/科普写
2楼2012-02-29 17:57:40
斑点猫
木虫 (正式写手)
- 应助: 8 (幼儿园)
- 金币: 3298.9
- 红花: 1
- 帖子: 683
- 在线: 94.9小时
- 虫号: 583575
- 注册: 2008-07-25
- 专业: 科技哲学/科技写作/科普写
3楼2012-02-29 18:05:54














回复此楼
6