| 查看: 17235 | 回复: 2 | ||
anvier木虫 (正式写手)
|
[求助]
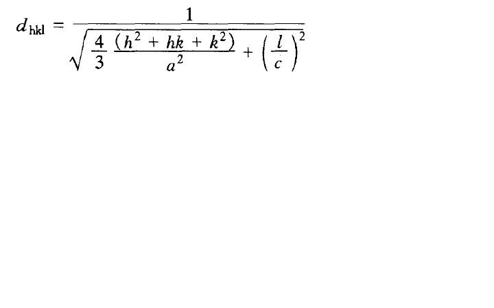
六方晶系的晶面间距计算公式怎么推导出来的?
|
|
|
|
||
wormma木虫 (正式写手)
One for All, All for One
|
||
![]() |
||
|
2楼2012-02-28 23:56:11
|
|
|
【答案】应助回帖
★ ★ ★ ★ ★
感谢参与,应助指数 +1 anvier(金币+5): ★★★很有帮助 2012-03-02 13:30:03
|
||
|
3楼2012-02-29 13:00:30
|
|













回复此楼

5