| 查看: 1240 | 回复: 2 | ||||
monitor2885至尊木虫 (职业作家)
队长
|
[求助]
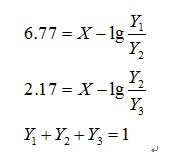
方程组的解怎么画图呢?
|
|||
![]() |
||||
|
|
||||
dbb627荣誉版主 (著名写手)
|
【答案】应助回帖
感谢参与,应助指数 +1
monitor2885(金币+10): ★★★★★最佳答案 啊,先化简方程啊。 2012-02-24 13:35:50 xiegangmai(金币+2, 专家考核): 谢谢应助! 2012-02-24 23:50:44
|
|||
![]() |
||||
|
2楼2012-02-24 08:27:34
|
|
|||
monitor2885至尊木虫 (职业作家)
队长
|
||||
![]() |
||||
|
3楼2012-02-27 12:27:14
|
|














回复此楼
