| 查看: 495 | 回复: 2 | ||
[交流]
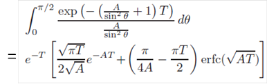
求助:指数函数的定积分, 头都大了,急啊....... 已有2人参与
|
» 本主题相关价值贴推荐,对您同样有帮助:
再求助翻译一小小段摘要
已经有2人回复
关于煤催化气化的求助
已经有4人回复
求助苄基酯COOBn和乙基酯COOEt水解
已经有6人回复
求助一个合成反应(难度大概在空间位阻)
已经有19人回复
药学版关于求助帖刷应助指数的说明
已经有13人回复
急!乳液聚合方面
已经有18人回复
求助:ATRP反应问题
已经有6人回复
Coarse - graining 模型中Lennard - Jones 势能函数的指数是怎么调整的?
已经有9人回复
求ORIGIN拟合包含隐函数的定积分方法
已经有6人回复
求助,投稿要求中的表格问题,头大,急,谢谢帮助!
已经有6人回复
soliton923
铁杆木虫 (职业作家)
数学村村长
- 数学EPI: 1
- 应助: 36 (小学生)
- 贵宾: 0.565
- 金币: 4146.4
- 散金: 5275
- 红花: 72
- 沙发: 21
- 帖子: 3489
- 在线: 1501.2小时
- 虫号: 1005450
- 注册: 2010-04-25
- 性别: GG
- 专业: 数学物理

2楼2012-01-31 15:58:00
emilyxmc
金虫 (小有名气)
- 应助: 23 (小学生)
- 金币: 1391.1
- 散金: 290
- 红花: 4
- 帖子: 262
- 在线: 69小时
- 虫号: 1467217
- 注册: 2011-10-30
- 专业: 计算数学与科学工程计算
3楼2012-02-01 13:29:01














回复此楼