| ²é¿´: 3939 | »Ø¸´: 7 | |||
ÔÆ¸è¾èÖú¹ó±ö (СÓÐÃûÆø)
|
[ÇóÖú]
¹ØÓÚPdµç¼«±íÃæ»ý¼ÆËã¼°capacitive surface area ÒÑÓÐ1È˲ÎÓë
|
ÎÄÏ× | µç»¯Ñ§ÖªÊ¶ |
» ²ÂÄãϲ»¶
ºþÄÏ´óѧÕÅÊÀ¹úÍŶÓÕÐ26ÄêµÚ¶þÅú²©Ê¿¡ªÀë×ÓÒºÌå¡¢¸ß·Ö×ÓÓëÄý½º²ÄÁÏ
ÒѾÓÐ0È˻ظ´
ºþÄÏũҵ´óѧÄÜÔ´²ÄÁÏ´´ÐÂÍŶÓÕÐÊÕ2025»¯Ñ§×¨ÒµÑо¿Éú£¨Ñ§Ë¶£©µ÷¼Á
ÒѾÓÐ0È˻ظ´
ÎïÀí»¯Ñ§ÂÛÎÄÈóÉ«/·ÒëÔõôÊÕ·Ñ?
ÒѾÓÐ227È˻ظ´
2026ÄêÎ÷»ª´óѧ²ÄÁÏѧԺ-²ÄÁϽü¾»³ÉÐÎÓë±íÃæ¼¼ÊõÑо¿ÍŶÓ-ÕÐÊÕµ÷¼ÁÑо¿Éú
ÒѾÓÐ8È˻ظ´
µ÷¼ÁÐÅÏ¢
ÒѾÓÐ0È˻ظ´
»ªÄÏÀí¹¤0703»¯Ñ§£¬×Ü·Ö336Çóµ÷¼Á
ÒѾÓÐ1È˻ظ´
ºÓ±±Å©´óÉúÎïÓëҽҩרҵÕÐÊÕµ÷¼Á£¬Ãû¶î³ä×ã
ÒѾÓÐ0È˻ظ´
Æë³¹¤Òµ´óѧ ¹ú¼ÒÖØµãʵÑéÊÒ-ÐÂÄÜÔ´¡¢ï®Àë×Óµç³Ø¡¢²ÄÁÏ¡¢»¯Ñ§·½Ïò
ÒѾÓÐ0È˻ظ´
һ־Ըǰ4λ´úÂë0703¾ù¿É±¨Ãû-ºÓ±±´óѧ·ÖÎö»¯Ñ§×¨ÒµÕÐÊÕµ÷¼Á¿¼Éú
ÒѾÓÐ25È˻ظ´
¡ï¡ï±¬¡ï¡ï0860ÉúÎïÓëÒ½Ò©µ÷¼Á¿¼Éú¿´¹ýÀ´£¬ºÓ±±´óѧ»¯Ñ§Óë²ÄÁÏ¿ÆÑ§Ñ§Ôº
ÒѾÓÐ41È˻ظ´
½ÜÇà/³¤½ÍŶÓÕÐÊÕµ÷¼Á
ÒѾÓÐ0È˻ظ´
» ±¾Ö÷ÌâÏà¹ØÉ̼ÒÍÆ¼ö: (ÎÒÒ²ÒªÔÚÕâÀïÍÆ¹ã)
» ±¾Ö÷ÌâÏà¹Ø¼ÛÖµÌùÍÆ¼ö£¬¶ÔÄúͬÑùÓаïÖú:
ÎÒÃÇѧУ¹ØÓÚÍâÓïˮƽҪÇó
ÒѾÓÐ18È˻ظ´
¹ØÓÚorigine 7.5 ÈçºÎ±ê×¢ºìÍâ·åÖµ
ÒѾÓÐ8È˻ظ´
¡¾ÇóÖú¡¿×ÔÓÉ»ùñîºÏ·´Ó¦¹ý¶É̬Óйý¶É̬Âð£¿ÔõÑù¼ÆËãÆä¹ý¶É̬£¿
ÒѾÓÐ4È˻ظ´
¹úÍâÄÄËù¸ßУµÄcomputational geochemistry (¼ÆËãµØÇò»¯Ñ§)רҵ×îÅ££¿
ÒѾÓÐ10È˻ظ´
ÇóÖú Ò©¶¯Ñ§²ÎÊý¼ÆËã
ÒѾÓÐ5È˻ظ´
hydrophobic indexÊÇʲô£¬ÈçºÎ¼ÆË㣿лл
ÒѾÓÐ4È˻ظ´
fluent¼ÆË㷢ɢ£¬½ö¶àÁËÒ»¸öÑÌÆø»ØÁ÷µÄ½á¹¹£¬Çó¸ßÊÖÖ¸µã¡£
ÒѾÓÐ5È˻ظ´
¹ØÓÚÀäÈ´ÎÊÌâµÄ¼ÆËã
ÒѾÓÐ10È˻ظ´
Ͷsurface & coating technology£¬Éó¸åÈý¸öÔÂÁË£¬»¹Ã»ÏûÏ¢
ÒѾÓÐ8È˻ظ´
ÓйØECSA, area current, mass currentµÄÎÊÌâ
ÒѾÓÐ24È˻ظ´
¹Ø¼ü´Ê£ºï®-¿ÕÆøµç³Ø;ʯī;¾ßÌåµÄÄÜÔ´; ·Ö²ã¶à¿×ʯī×÷Îªï®¿ÕÆøµç³ØµÄµç¼«
ÒѾÓÐ89È˻ظ´
Ë×öµÄʯīϩÐÞÊε缫µçλ´°¿ÉÒÔÅܵ½1.1V»òÕß1.2VµÄ£¿³öÀ´ËµÏ°¡
ÒѾÓÐ5È˻ظ´
ÈçºÎ½«ÄÉÃ×¶þÑõ»¯Ã̸ºÔص½½é¿×Ì¿ÉÏ×÷Ϊµç¼«
ÒѾÓÐ3È˻ظ´
Niarb
½ð³æ (СÓÐÃûÆø)
- ECEPI: 2
- Ó¦Öú: 30 (СѧÉú)
- ½ð±Ò: 689.3
- ºì»¨: 3
- Ìû×Ó: 144
- ÔÚÏß: 37.7Сʱ
- ³æºÅ: 1047685
- ×¢²á: 2010-06-26
- ÐÔ±ð: GG
- רҵ: µç»¯Ñ§
¡¾´ð°¸¡¿Ó¦Öú»ØÌû
¡ï ¡ï ¡ï ¡ï ¡ï
¸Ðл²ÎÓ룬ӦÖúÖ¸Êý +1
chgyhit(½ð±Ò+5): ¶àл²ÎÓë 2012-01-14 12:41:32
¸Ðл²ÎÓ룬ӦÖúÖ¸Êý +1
chgyhit(½ð±Ò+5): ¶àл²ÎÓë 2012-01-14 12:41:32
|
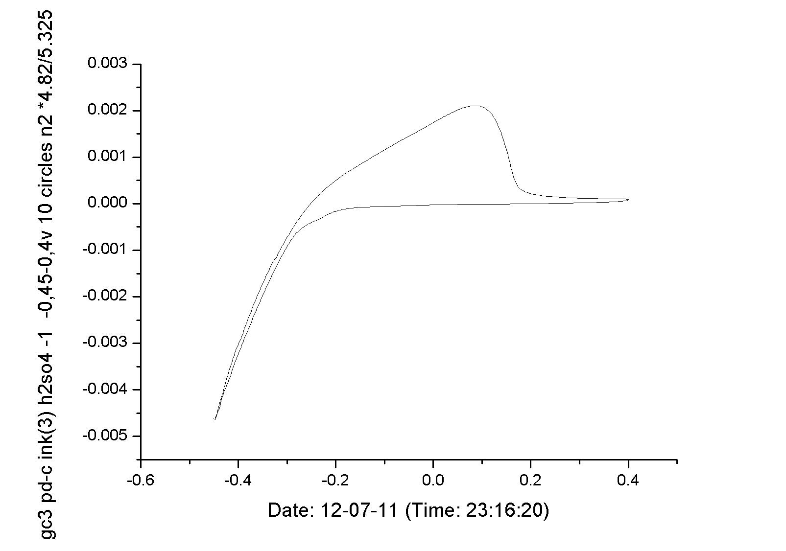
ÓÉÓÚH»á×êÈëPdµÄ¾§¸ñ£¬ËùÒÔ²»ÄÜÓÃHÃæ»ý¹ÀË㣻¶øÓÃPdO¹ÀËãµÄ»°ÓÉÓÚÑ¡ÔñµÄɨÃèµçλÉÏÏ޵IJ»Í¬»áµ¼Ö»ý·ÖÁ¿µÄ²»Í¬£¬¶ø¶ÔÓÚPdÀ´Ëµ»¹Ã»ÓÐÒ»¸öÈ·¶¨µÄ±ê×¼À´¾ö¶¨É¨ÃèµçλÉÏÏÞ¡£ Ò»°ãÓ¦¸Ã²ÉÓõÄÊǵ¥²ãCOÎüÍѸ½µÄµçÁ¿À´¼ÆË㣬¼ÆË㷽ʽͬPtÉϵÄÏàͬ£¬ÓкܶàÎÄÏ×½éÉÜ¡£ Ë«µç²ã³äµçµçÁ÷ÊÇ¿ÉÒÔÓÃÀ´¹À¼Æcapacitive surface area£¬¾ÍÊǵçÈݳäµç¹«Ê½£¬·ÔĽ̿ÆÊé¾ÍÄÜÕÒµ½ |
2Â¥2012-01-13 09:02:17
ÔÆ¸è
¾èÖú¹ó±ö (СÓÐÃûÆø)
- Ó¦Öú: 1 (Ó×¶ùÔ°)
- ½ð±Ò: 339.1
- É¢½ð: 5874
- ºì»¨: 1
- Ìû×Ó: 54
- ÔÚÏß: 54.4Сʱ
- ³æºÅ: 510850
- ×¢²á: 2008-02-25
- רҵ: µç»¯Ñ§
3Â¥2012-01-14 04:48:05
ÔÆ¸è
¾èÖú¹ó±ö (СÓÐÃûÆø)
- Ó¦Öú: 1 (Ó×¶ùÔ°)
- ½ð±Ò: 339.1
- É¢½ð: 5874
- ºì»¨: 1
- Ìû×Ó: 54
- ÔÚÏß: 54.4Сʱ
- ³æºÅ: 510850
- ×¢²á: 2008-02-25
- רҵ: µç»¯Ñ§
|
Niarb ÄúÄÜ·ñ°Ñcapacitive surface area¼ÆË㹫ʽÌùµ½Õâ¶ùÀ´£¿ÎÒÔÚÕâ¶ùûÓа취²é½Ì¿ÆÊ顣ллÁË¡£ ÁíÍâÎÒ³¢ÊÔ¶ÔÉÏÃæ¸½Í¼ÖÐ0.2£0.4VÖ®¼äµÄÇøÓòÓÃOrigin½øÐлý·Ö£¬µÃµ½Ãæ»ýS£¬ Ö®ºó´¦ÒÔ2£¬ ÔÙ´¦ÒÔɨËÙv, µÃµ½µçÁ¿Q£¬ È»ºó³ýÒÔËùÑ¡µçÎ»Çø---- E£¨0.4V-0.2V=0.2V)£¬ µÃµ½¸ÃÇøÓòµÄË«µç²ãµçÈÝÖµC¡£ ¼´C=S/(2v)/E¡£ Äú¿´ÕâÑù¼ÆËãµçÈݶÔÂ𣿠µÃµ½µçÈÝCÖµÒÔºó£¬ÔÙÔõô¼ÆËãµç¼«Ãæ»ýÄØ£¿ÊdzýÒÔij¸ö³£ÊýÖµÂð£¿ÓÐ×ÊÁÏ˵ƽ»¬¹æÔòµÄAu»òAg±íÃæË«µç²ãµçÈݳ£ÊýΪ20uF/cm2£¬ ²»ÖªµÀ¶ÔÆäËü²ÄÁϱÈÈç¶à¿×PdÕâÑùµÄ²ÄÁϸÃȡʲôֵ£¿ ÓÐûÓÐÀàËÆµÄÎÄÏ×»ò×ÊÁÏ£¿ ÕâÑù¼ÆËã³öµÄµçÈݱíÃæ»ý»¹ÓëH2ÓйØÂ𣬻¹ÊǾÍÊǵ缫ÐÞÊβÄÁÏ---¶à¿×PdµÄµçÈݱíÃæ»ý£¿ |
4Â¥2012-01-14 05:01:17
yuewen_yang
Òø³æ (ÕýʽдÊÖ)
- Ó¦Öú: 5 (Ó×¶ùÔ°)
- ½ð±Ò: 3.2
- É¢½ð: 29
- ºì»¨: 3
- Ìû×Ó: 857
- ÔÚÏß: 139.5Сʱ
- ³æºÅ: 1070967
- ×¢²á: 2010-08-07
- ÐÔ±ð: GG
- רҵ: ÎÞ»úÄÉÃ×»¯Ñ§

5Â¥2012-11-22 13:47:04
ÄäÃû
Óû§×¢Ïú (ÕýʽдÊÖ)
- Ó¦Öú: 29 (СѧÉú)
- ½ð±Ò: 2558.6
- É¢½ð: 56
- ºì»¨: 4
- Ìû×Ó: 459
- ÔÚÏß: 142.3Сʱ
- ³æºÅ: 0
- ×¢²á: 2014-03-13
- רҵ: ÎÞ»úºÏ³ÉºÍÖÆ±¸»¯Ñ§
6Â¥2015-06-24 10:08:03
°®ÉÏÁ˼Åį
гæ (СÓÐÃûÆø)
- Ó¦Öú: 0 (Ó×¶ùÔ°)
- ½ð±Ò: 1457.6
- ºì»¨: 1
- Ìû×Ó: 120
- ÔÚÏß: 64.1Сʱ
- ³æºÅ: 2441798
- ×¢²á: 2013-04-29
- רҵ: Á¦Ñ§
7Â¥2016-07-17 11:37:33
mtnano
Ìú³æ (СÓÐÃûÆø)
- Ó¦Öú: 0 (Ó×¶ùÔ°)
- ½ð±Ò: 54.5
- É¢½ð: 88
- ºì»¨: 1
- Ìû×Ó: 178
- ÔÚÏß: 52.3Сʱ
- ³æºÅ: 3813580
- ×¢²á: 2015-04-16
- ÐÔ±ð: GG
- רҵ: ´ß»¯»¯Ñ§

8Â¥2017-06-05 16:35:31














»Ø¸´´ËÂ¥


