| 查看: 1567 | 回复: 4 | |||
cuphunter金虫 (知名作家)
|
[求助]
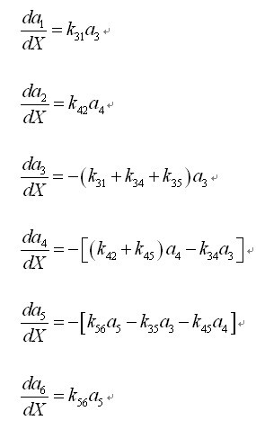
matlab拟合动力学参数
|
matlab | 量化计算有意义的讨论 |
» 猜你喜欢
北京纳米能源与系统研究所王中林院士/曹南颖研究员课题组招收2026硕士研究生1名
已经有0人回复
山西大同大学物理学硕士研究生招收调剂生
已经有0人回复
物理学I论文润色/翻译怎么收费?
已经有231人回复
[调剂信息]211智能人工感知方向国家青年特聘专家课题组招收调剂研究生
已经有0人回复
[调剂信息]211智能人工感知方向国家青年特聘专家课题组招收调剂研究生
已经有0人回复
[调剂信息]211智能人工感知方向国家青年特聘专家课题组招收调剂研究生
已经有0人回复
一志愿物理所凝聚态物理352求调剂
已经有0人回复
0702一志愿吉大B区求调剂 本科期间发表一篇Sci
已经有2人回复
0702一志愿吉大B区求调剂 本科期间发表一篇Sci
已经有0人回复
070200求调剂,一志愿某211,288分
已经有18人回复
法国博士后职位
已经有0人回复
» 本主题相关价值贴推荐,对您同样有帮助:
关于势函数的求助
已经有23人回复
吸附的动力学方程拟合
已经有18人回复
【求助】用matlab最优化方法进行参数拟合
已经有17人回复
【求助】拟合动力学方程求助
已经有13人回复
origin,sigmaplot等软件自定义曲线拟合(主要是一些动力学方程的模拟)
已经有2人回复
【求助】使用Matlab拟合反应动力学方程问题
已经有7人回复

dbb627
荣誉版主 (著名写手)
-

专家经验: +4 - 计算强帖: 12
- 应助: 289 (大学生)
- 贵宾: 0.589
- 金币: 24640.4
- 散金: 551
- 红花: 61
- 沙发: 1
- 帖子: 1246
- 在线: 1794.8小时
- 虫号: 149791
- 注册: 2005-12-29
- 性别: GG
- 专业: 污染控制化学
- 管辖: 计算模拟

2楼2011-12-22 16:37:49
dingd
铁杆木虫 (职业作家)
- 计算强帖: 4
- 应助: 1641 (讲师)
- 金币: 15037.3
- 散金: 101
- 红花: 234
- 帖子: 3410
- 在线: 1223.7小时
- 虫号: 291104
- 注册: 2006-10-28
3楼2011-12-22 18:27:57
zl030091126
金虫 (正式写手)
- 应助: 15 (小学生)
- 金币: 303.8
- 散金: 605
- 红花: 2
- 帖子: 524
- 在线: 141.5小时
- 虫号: 1444718
- 注册: 2011-10-16
- 性别: GG
- 专业: 化学反应工程

4楼2011-12-23 04:42:00
zt_chem
木虫 (正式写手)
- 应助: 12 (小学生)
- 金币: 2147.8
- 红花: 6
- 帖子: 872
- 在线: 981.6小时
- 虫号: 286920
- 注册: 2006-10-15
- 性别: GG
- 专业: 催化化学
5楼2011-12-23 11:55:31














回复此楼
5