| 查看: 2034 | 回复: 2 | ||
[求助]
Pt催化剂的循环伏安曲线
|
|
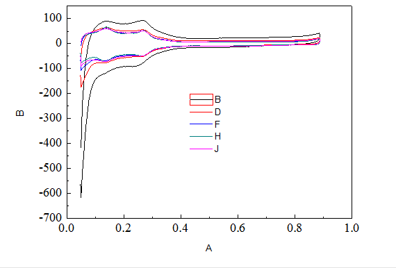
下图是Pt催化剂在0.5M硫酸溶液中的CV曲线,扫描范围0.05~0.9V,扫描速率50MV/s,黑线是新制备的催化剂稳定后扫描的CV曲线,其它的是同一个催化剂高电位扫描之后再在低电位下扫描的曲线,为什么黑线析氢特别严重,如果是由于氧没除干净,那为什么曲线没有整体下移,如果是由于电位太负,那为什么其它的曲线析氢没有那么严重,求高手解答?着急,非常感谢! 铂催化剂的CV曲线 |
» 猜你喜欢
核磁分析软件MestReNova打开文件时报错
已经有0人回复
在职博后不能申请博后基金了,那么在职博后意义何在?
已经有2人回复
分析化学论文润色/翻译怎么收费?
已经有258人回复
青岛大学化学化工学院分子测量学研究院2026年招收博士研究生
已经有0人回复
香港科技大学(广州)诚招电催化方向博士生(2026秋入学)
已经有0人回复
求助Cu2+1O的CIF文件(PDF: 05-0667)
已经有1人回复
KAUST(阿卜杜拉国王科技大学)MXene 器件方向博士后招聘
已经有0人回复
沙特阿拉伯阿卜杜拉国王科技大学(KAUST)电池方向博士后招聘
已经有0人回复
福州大学新能源材料与工程研究院招收2026年入学博士
已经有0人回复
» 本主题相关价值贴推荐,对您同样有帮助:
关于循环伏安曲线的一些问题
已经有9人回复
请教循环伏安曲线一个问题
已经有10人回复
循环伏安曲线测试
已经有6人回复
AuAg催化,这个循环伏安曲线好奇怪。。。。
已经有9人回复
请教一个循环伏安曲线
已经有12人回复
这个循环伏安曲线是怎么回事
已经有10人回复
【求助】CV曲线中氢吸脱附峰电量的计算
已经有20人回复
【求助】铂的循环伏安曲线
已经有10人回复
【讨论】有人做过碱性条件下Pt催化剂的CV曲线么?
已经有10人回复
【求助】请高手指教,有图求真相——Pt/C催化剂稳定性和CV曲线问题
已经有8人回复
【求助】循环伏安曲线分析
已经有20人回复
【求助】循环伏安曲线
已经有16人回复
studyforever
木虫 (小有名气)
- ECEPI: 1
- 应助: 20 (小学生)
- 金币: 2384.5
- 红花: 9
- 帖子: 173
- 在线: 34.3小时
- 虫号: 1356195
- 注册: 2011-07-26
- 专业: 半导体材料

2楼2011-12-20 10:55:13
3楼2011-12-21 08:59:24













回复此楼