| 查看: 1942 | 回复: 1 | |||
[求助]
PDMS和丙烯酸酯类嵌段共聚物的玻璃化温度问题
|
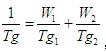
| PDMS和丙烯酸酯类嵌段共聚物会发生微相分离,是有两个玻璃化温度吗,那怎样调节其玻璃化温度;丙烯酸酯类这一嵌段的玻璃化温度的改变对于其树脂涂层有什么影响 |
» 猜你喜欢
287分求调剂 有专利国奖一志愿哈工大085406
已经有4人回复
285求调剂
已经有7人回复
085405软件工程301分求调剂,专硕可跨专业,四六级已过
已经有3人回复
求调剂
已经有5人回复
274求调剂求调剂
已经有3人回复
求调剂到材料
已经有5人回复
材料考研求调剂总分280
已经有5人回复
一志愿郑州大学材料与化工085600,求调剂
已经有27人回复
化工求调剂!
已经有11人回复
285求调剂
已经有4人回复
» 本主题相关价值贴推荐,对您同样有帮助:
丙烯酸酯化问题?
已经有26人回复
[color=Red][size=2]关于甲基丙烯酸甲酯工业化的问题[/size][/color]
已经有2人回复
关于玻璃化转变温度
已经有5人回复
【求助】嵌段共聚物会出现两个熔点或玻璃化温度么?
已经有30人回复
【求助】聚甲基丙烯酸丁酯玻璃化转变温度的问题?
已经有8人回复
【求助】甲基丙烯酸丁酯和苯乙烯嵌段共聚物的玻璃化转变温度大约是多少?
已经有4人回复
【求助】请问:高聚物的玻璃化温度与结晶度,二者间有关系么?
已经有9人回复
bai123
荣誉版主 (文坛精英)
大白鲨
-

专家经验: +55 - PEPI: 5
- 应助: 576 (博士)
- 贵宾: 2.134
- 金币: 29145.5
- 散金: 20171
- 红花: 172
- 沙发: 3286
- 帖子: 37666
- 在线: 2450.5小时
- 虫号: 1157707
- 注册: 2010-11-28
- 专业: 有机高分子功能材料

2楼2011-12-15 08:58:54














回复此楼