版块导航
正在加载中...
客户端APP下载
论文辅导
申博辅导
登录
注册
帖子
帖子
用户
本版
应《网络安全法》要求,自2017年10月1日起,未进行实名认证将不得使用互联网跟帖服务。为保障您的帐号能够正常使用,请尽快对帐号进行手机号验证,感谢您的理解与支持!
24小时热门版块排行榜
>
论坛更新日志
(417)
>
虫友互识
(56)
>
硕博家园
(12)
>
导师招生
(8)
>
论文投稿
(6)
>
教师之家
(4)
>
考博
(4)
>
公派出国
(3)
>
基金申请
(2)
>
找工作
(2)
>
文献求助
(2)
>
招聘信息布告栏
(1)
>
论文道贺祈福
(1)
>
考研
(1)
小木虫论坛-学术科研互动平台
»
计算模拟区
»
计算模拟
»
管道入流的控制方程
3
1/1
返回列表
查看: 304 | 回复: 2
只看楼主
@他人
存档
新回复提醒
(忽略)
收藏
在APP中查看
20100708
新虫
(初入文坛)
应助: 0
(幼儿园)
金币: 92.5
帖子: 16
在线: 20.5小时
虫号: 1228875
注册: 2011-03-11
性别: GG
专业: 内流流体力学
[
求助
]
管道入流的控制方程
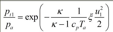
最近研究管道入流,附件中入流的控制方程如何推导,多谢帮助!!!
管道入流控制方程
回复此楼
» 猜你喜欢
石墨烯转移--二氧化硅衬底石墨烯
已经有0人回复
笼目材料中量子自旋液体基态的证据
已经有0人回复
物理学I论文润色/翻译怎么收费?
已经有175人回复
数学教学论硕士可以读数学物理博士吗?
已经有0人回复
德国亥姆霍兹Hereon中心汉堡分部招镁合金腐蚀裂变SCC课题方向2026公派博士生
已经有4人回复
澳门大学 应用物理及材料工程研究院 潘晖教授课题组诚招博士后
已经有11人回复
求助NH4V4O10晶体的CIF文件
已经有0人回复
英国全奖博士招聘-深度学习与量子物理
已经有0人回复
间接带隙半导体有效质量求助
已经有1人回复
投稿chemical physical letters不送审?
已经有2人回复
南开大学物理学院张书辉副教授招收凝聚态物理理论方向博士生、硕士生
已经有4人回复
» 本主题相关价值贴推荐,对您同样有帮助:
matlab解微分方程
已经有10人回复
乙胺工艺流程图
已经有33人回复
对流-扩散方程中加入导热方程的问题
已经有3人回复
葡聚糖凝胶层析,流速过慢
已经有16人回复
求助---一道---流体力学数值模拟题---二元平流方程化简的题目---急急急急急急急
已经有7人回复
关于聚酰亚胺流变曲线的问题
已经有5人回复
【求助】多相流计算中只有连续性方程不收敛,求收敛策略
已经有38人回复
【讨论】管理者的自省:用三流人才赚一流的钱
已经有3人回复
【求助】液相出现驼峰,更换流动性还是分不开
已经有10人回复
【求助】不仅控制方程里含有未知参数,边界条件里也有
已经有5人回复
office visio 2003专业制作各类流程图等图纸的软件(350M,纳米盘)
已经有13人回复
1楼
2011-12-12 10:14:38
已阅
回复此楼
关注TA
给TA发消息
送TA红花
TA的回帖
gff-fdj108
新虫
(初入文坛)
应助: 1
(幼儿园)
金币: 10
帖子: 1
在线: 10分钟
虫号: 1727644
注册: 2012-03-30
专业: 内流流体力学
【答案】应助回帖
★
感谢参与,应助指数 +1
zhangguangping: 金币+1, 谢谢推荐!
2012-03-31 00:09:25
流体力学基础上没有吗?Jhon Andsen
赞
一下
回复此楼
2楼
2012-03-30 19:33:37
已阅
回复此楼
关注TA
给TA发消息
送TA红花
TA的回帖
minquanhuji
铁虫
(小有名气)
应助: 2
(幼儿园)
金币: 346.3
红花: 1
帖子: 175
在线: 26.6小时
虫号: 1726133
注册: 2012-03-30
性别: GG
专业: 工程热物理相关交叉领域
跟Ergun有点相似
赞
一下
回复此楼
学习交流,互通有无
3楼
2012-04-01 17:27:01
已阅
回复此楼
关注TA
给TA发消息
送TA红花
TA的回帖
相关版块跳转
第一性原理
量子化学
计算模拟
分子模拟
仿真模拟
程序语言
我要订阅楼主
20100708
的主题更新
3
1/1
返回列表
如果回帖内容含有宣传信息,请如实选中。否则帐号将被全论坛禁言
普通表情
龙
兔
虎
猫
百度网盘
|
360云盘
|
千易网盘
|
华为网盘
在新窗口页面中打开自己喜欢的网盘网站,将文件上传后,然后将下载链接复制到帖子内容中就可以了。
信息提示
关闭
请填处理意见
关闭
确定