| ²é¿´: 306 | »Ø¸´: 1 | ||
jinhongyan2009ľ³æ (СÓÐÃûÆø)
|
[ÇóÖú]
ÇóÖú·ÇÏßÐÔ¹âѧ·½³ÌÍÆµ¼
|
|
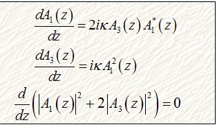
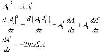
¸÷λ´óÏÀ£¬Çë½Ì´ó¼Ò£¬ÎÒÓиö¹«Ê½²»»áÍÆµ¼ÁË£¬Çë¿´¸½¼þͼƬ£º½«ÉϱßÁ½¸ö¹«Ê½ÍƵ¼³öϱߵĹ«Ê½£¬ÊéÉÏÓиöÌáʾÊÇ·Ö±ð³ËÒÔA1*£¬ºÍA3*,µÃ³ö¡£ÎÒ²»ÖªµÀÖмä¹ý³ÌÊÇÔõÃ´ÍÆ³öÀ´µÄ¶ö£¬Èç¹ûÓÐÈËÖªµÀ½²½âһϣ¬Íò·Ö¸Ðл |
» ²ÂÄãϲ»¶
278Çóµ÷¼Á
ÒѾÓÐ3È˻ظ´
»¯¹¤µ÷¼Á303·Ö£¬¹ýËļ¶
ÒѾÓÐ27È˻ظ´
265Çóµ÷¼Á
ÒѾÓÐ20È˻ظ´
348·Ö»·¾³¹¤³Ì¡¤µ÷¼Á
ÒѾÓÐ6È˻ظ´
322Çóµ÷¼Á
ÒѾÓÐ3È˻ظ´
335Çóµ÷¼Á
ÒѾÓÐ7È˻ظ´
311£¨085601£©Çóµ÷¼Á
ÒѾÓÐ15È˻ظ´
081700»¯Ñ§¹¤³ÌÓë¼¼Êõ Ò»Ö¾Ô¸Öк£Ñó 323 Çóµ÷¼ÁѧУ
ÒѾÓÐ6È˻ظ´
327Çóµ÷¼Á
ÒѾÓÐ8È˻ظ´
292Çóµ÷¼Á
ÒѾÓÐ21È˻ظ´
» ±¾Ö÷ÌâÏà¹Ø¼ÛÖµÌùÍÆ¼ö£¬¶ÔÄúͬÑùÓаïÖú:
¡¾ÇóÖú¡¿ÓÃmathematica 5.0Çó½âÒ»¸ö·ÇÏßÐÔ·½³Ì×éʧ°Ü£¬ÌØ·¢ÌûÇóÖú£¡
ÒѾÓÐ5È˻ظ´
¡¾ÇóÖú¡¿matlabÇó½â·ÇÏßÐÔ·½³Ì×飬²¢»Í¼´¦Àí¡£ÒªÇóy,zÊÇʵÊý½â£¡
ÒѾÓÐ18È˻ظ´
100½ð±ÒÏÂÔØÂÛÎÄÇóÖú
ÒѾÓÐ3È˻ظ´
¡¾ÇóÖú¡¿ÏòÄÚÐÐÇë½Ì¹ØÓÚ·ÇÏßÐÔ¹âѧµÄÎïÀí»úÖÆ
ÒѾÓÐ7È˻ظ´
¡¾ÇóÖú¡¿Çó½Ìmatlab½â·ÇÏßÐÔ·½³Ì×é
ÒѾÓÐ9È˻ظ´
¡¾ÇóÖú¡¿Çó½â·ÇÏßÐÔ·½³Ì
ÒѾÓÐ8È˻ظ´
bill_shark
Òø³æ (СÓÐÃûÆø)
- Ó¦Öú: 10 (Ó×¶ùÔ°)
- ½ð±Ò: 1194.7
- ºì»¨: 4
- Ìû×Ó: 100
- ÔÚÏß: 63.3Сʱ
- ³æºÅ: 1437428
- ×¢²á: 2011-10-11
- רҵ: ¹âѧ
2Â¥2011-11-25 12:02:34














»Ø¸´´ËÂ¥