| ²é¿´: 1817 | »Ø¸´: 7 | |||
ÎÄÖñ007ľ³æ (СÓÐÃûÆø)
|
[½»Á÷]
Ñõ»¯Ê¯Ä«×ÏÍâ¿É¼û¹âÆ×ÎÊÌâ ÒÑÓÐ6È˲ÎÓë
|
|
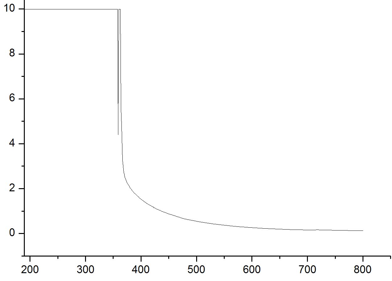
ÏÂͼÊDZ¾È˵ÄÑõ»¯Ê¯Ä«Ë®ÈÜÒº×ÏÍâ¿É¼û¹âÆ×ͼ£¬ÎªÉ¶190-360nm´¦ÎüÊÕÄÇôǿ£¿¶¼ÊÇÆ½µÄÖ±Ïߣ¬ÊDz»ÊÇÓÐÎÊÌâ°¡£¿Çë¸ßÈËÖ¸µã¡£ |
» ²ÂÄãϲ»¶
265Çóµ÷¼Á
ÒѾÓÐ6È˻ظ´
²ÄÁÏÇóµ÷¼Á
ÒѾÓÐ13È˻ظ´
Ò»Ö¾Ô¸Ö£ÖÝ´óѧ²ÄÁÏÓ뻯¹¤085600£¬Çóµ÷¼Á
ÒѾÓÐ26È˻ظ´
070300»¯Ñ§279Çóµ÷¼Á
ÒѾÓÐ18È˻ظ´
²ÄÁϵ÷¼Á
ÒѾÓÐ8È˻ظ´
»¯¹¤Çóµ÷¼Á£¡
ÒѾÓÐ6È˻ظ´
290Çóµ÷¼Á085701
ÒѾÓÐ11È˻ظ´
085600²ÄÁÏÓ뻯¹¤×¨Ë¶329 Çóµ÷¼Á
ÒѾÓÐ6È˻ظ´
295Çóµ÷¼Á
ÒѾÓÐ15È˻ظ´
Ò»Ö¾Ô¸ºÓ±±¹¤Òµ´óѧ²ÄÁϹ¤³Ì£¬³õÊÔ344Çóר˶µ÷¼Á
ÒѾÓÐ6È˻ظ´
» ±¾Ö÷ÌâÏà¹ØÉ̼ÒÍÆ¼ö: (ÎÒÒ²ÒªÔÚÕâÀïÍÆ¹ã)
» ±¾Ö÷ÌâÏà¹Ø¼ÛÖµÌùÍÆ¼ö£¬¶ÔÄúͬÑùÓаïÖú:
Ñõ»¯Ê¯Ä«ÖƱ¸¹ý³ÌµÄÏÖÏóÓëÎÊÌâ
ÒѾÓÐ44È˻ظ´
Ñõ»¯Ê¯Ä«Ï©µÄÎÊÌâ
ÒѾÓÐ39È˻ظ´
Ñõ»¯Ê¯Ä«µÄXRDͼµÄÒÉÎʼ°ÆäËüÎÊÌâ
ÒѾÓÐ25È˻ظ´
Ñõ»¯Ê¯Ä«ÊµÑéÎÊÌâ
ÒѾÓÐ16È˻ظ´
Ñõ»¯Ê¯Ä«Ï©±íÕ÷µÄÎÊÌâ
ÒѾÓÐ10È˻ظ´
ʯīϩÄÜÓÃ×ÏÍâÎüÊÕ¹âÆ×·¨±íÕ÷Âð
ÒѾÓÐ6È˻ظ´
¡¾Çë½Ì¡¿ÖƱ¸Ñõ»¯Ê¯Ä«Ï©µÄÎÊÌâ
ÒѾÓÐ36È˻ظ´
¡¾ÇóÖú¡¿¹ØÓÚÑõ»¯Ê¯Ä«Ï©µÄÖÆ±¸ÎÊÌâ
ÒѾÓÐ17È˻ظ´
¡¾ÇóÖú¡¿Ñõ»¯Ê¯Ä«µÄ»¹ÔÓöµ½µÄÎÊÌâ
ÒѾÓÐ10È˻ظ´
¡¾ÇóÖú¡¿¹ØÓÚ×ÏÍâ¿É¼û¹âÆ×ÎÊÌâ
ÒѾÓÐ9È˻ظ´
¡¾ÌÖÂÛ¡¿ÎÊÒ»¸öÑõ»¯Ê¯Ä«ÖƱ¸µÄÎÊÌâ¡£
ÒѾÓÐ9È˻ظ´
¡¾Çë½Ì¡¿ÖƱ¸Ñõ»¯Ê¯Ä«¹ý³ÌÖÐÇåÏ´µÄÎÊÌâ
ÒѾÓÐ13È˻ظ´
¡¾ÇóÖú¡¿Çë½ÌÒ»¸öÑõ»¯Ê¯Ä«ÖƱ¸¡¢Ìá´¿µÄÎÊÌâ
ÒѾÓÐ8È˻ظ´

sandi
ÖÁ×ðľ³æ (ÎÄ̳¾«Ó¢)
- Ó¦Öú: 26 (СѧÉú)
- ½ð±Ò: 54230.8
- ºì»¨: 4
- Ìû×Ó: 11360
- ÔÚÏß: 980Сʱ
- ³æºÅ: 54854
- ×¢²á: 2004-10-02
- ÐÔ±ð: GG
- רҵ: ¹¦ÄÜÓëÖÇÄܸ߷Ö×Ó
¡ï
Сľ³æ(½ð±Ò+0.5):¸ø¸öºì°ü£¬Ð»Ð»»ØÌû
Сľ³æ(½ð±Ò+0.5):¸ø¸öºì°ü£¬Ð»Ð»»ØÌû
|
ÑùÆ·ÎüÊÕÌ«´ó£¬³¬³öÒÇÆ÷¼ì²â·¶Î§£¬Ï¡ÊÍÒ»Ï塃 Èç¹û˵ÄãµÄÑùÆ·²»Ðè¹Û²â×ÏÍâÇøµÄÎüÊÕ£¬ÄǾͲ»ÓùÜËü |
2Â¥2011-11-15 21:10:17
ÎÄÖñ007
ľ³æ (СÓÐÃûÆø)
- Ó¦Öú: 0 (Ó×¶ùÔ°)
- ½ð±Ò: 3935.4
- É¢½ð: 75
- ºì»¨: 1
- Ìû×Ó: 179
- ÔÚÏß: 60.3Сʱ
- ³æºÅ: 272014
- ×¢²á: 2006-08-13
- ÐÔ±ð: GG
- רҵ: ÎÞ»úºÏ³ÉºÍÖÆ±¸»¯Ñ§

3Â¥2011-11-16 10:28:45
padodo
ÖÁ×ðľ³æ (Ö°Òµ×÷¼Ò)
ÅÖà½à½
- Ó¦Öú: 179 (¸ßÖÐÉú)
- ¹ó±ö: 0.272
- ½ð±Ò: 12660.9
- É¢½ð: 609
- ºì»¨: 21
- ɳ·¢: 2
- Ìû×Ó: 3380
- ÔÚÏß: 609.1Сʱ
- ³æºÅ: 409123
- ×¢²á: 2007-06-21
- ÐÔ±ð: GG
- רҵ: »·¾³·ÖÎö»¯Ñ§

4Â¥2011-11-16 15:38:47
ÔÆÎÞËûÏç
½ð³æ (³õÈëÎÄ̳)
- Ó¦Öú: 0 (Ó×¶ùÔ°)
- ½ð±Ò: 607.3
- ºì»¨: 1
- Ìû×Ó: 25
- ÔÚÏß: 17.6Сʱ
- ³æºÅ: 1653318
- ×¢²á: 2012-02-29
- ÐÔ±ð: MM
- רҵ: ½ðÊô²ÄÁϱíÃæ¿ÆÑ§Ó빤³Ì
5Â¥2012-05-31 21:39:46
ËÕϧ²»Èô
ľ³æ (ÖøÃûдÊÖ)
- Ó¦Öú: 95 (³õÖÐÉú)
- ½ð±Ò: 5049.9
- É¢½ð: 660
- ºì»¨: 10
- Ìû×Ó: 1761
- ÔÚÏß: 119.5Сʱ
- ³æºÅ: 1315143
- ×¢²á: 2011-06-04
- ÐÔ±ð: GG
- רҵ: ½á¹¹»¯Ñ§

6Â¥2012-06-01 01:31:27
lifucheng
ר¼Ò¹ËÎÊ (ÖªÃû×÷¼Ò)
-

ר¼Ò¾Ñé: +1438 - ACI: 6
- Ó¦Öú: 1502 (½²Ê¦)
- ¹ó±ö: 0.365
- ½ð±Ò: 25507.1
- É¢½ð: 27
- ºì»¨: 133
- Ìû×Ó: 5708
- ÔÚÏß: 730.1Сʱ
- ³æºÅ: 578772
- ×¢²á: 2008-07-04
- ÐÔ±ð: GG
- רҵ: µç»¯Ñ§·ÖÎö
- ¹ÜϽ: ·ÖÎö
7Â¥2012-06-01 20:04:46
baiwanqiao
ľ³æ (ÕýʽдÊÖ)
- Ó¦Öú: 0 (Ó×¶ùÔ°)
- ½ð±Ò: 2266
- É¢½ð: 847
- ºì»¨: 1
- Ìû×Ó: 974
- ÔÚÏß: 164.8Сʱ
- ³æºÅ: 1103851
- ×¢²á: 2010-09-20
- ÐÔ±ð: GG
- רҵ: ·ÖÎö»¯Ñ§

8Â¥2012-10-22 16:02:08














»Ø¸´´ËÂ¥