| ²é¿´: 485 | »Ø¸´: 0 | |
younk½ð³æ (СÓÐÃûÆø)
|
[ÇóÖú]
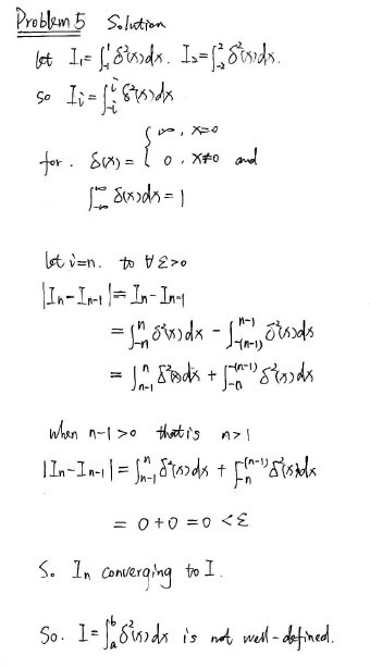
¡¾ÇóÖú¡¿¹ØÓÚDriac-deltaº¯ÊýµÄ¿É»ýÐÔ
|
|
|
|
|
ÕÒµ½Ò»Ð©Ïà¹ØµÄ¾«»ªÌû×Ó£¬Ï£ÍûÓÐÓÃŶ~
¿ÆÑдÓСľ³æ¿ªÊ¼£¬ÈËÈËΪÎÒ£¬ÎÒΪÈËÈË
|













»Ø¸´´ËÂ¥
µã»÷ÕâÀïËÑË÷¸ü¶àÏà¹Ø×ÊÔ´