| 查看: 470 | 回复: 3 | ||
[求助]
求助各位怎么求解这个积分
|
|
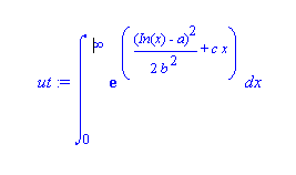
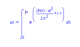
本人是学材料学的,需要求解这么一个积分,弄了半天也不知道咋弄,maple也算不出来,求助各位牛人,看看怎么能求解出来这个积分?这个式子对本人很重要,万分感谢。 另:刚注册的号,只有两个金币,太寒碜了,请见谅啊。 exp(1/2*(In(x)-a)^2/b^2+c*x), 积分限:x = 0 .. infinity |
» 猜你喜欢
求材料,环境专业调剂
已经有3人回复
335求调剂
已经有5人回复
求调剂
已经有7人回复
一志愿吉大化学322求调剂
已经有4人回复
环境学硕288求调剂
已经有8人回复
341求调剂(一志愿湖南大学070300)
已经有6人回复
一志愿北京化工大学 070300 学硕 336分 求调剂
已经有7人回复
299求调剂
已经有5人回复
306求0703调剂一志愿华中师范
已经有8人回复
一志愿河北工业大学0817化工278分求调剂
已经有11人回复
» 本主题相关商家推荐: (我也要在这里推广)
» 本主题相关价值贴推荐,对您同样有帮助:
复杂积分求解,求大神相助
已经有9人回复
求助,大家有谁知道这种图(激光粒度分布图)怎么画?
已经有4人回复
求助大家帮我看看这句话是什么意思,审稿人要求修改图片
已经有19人回复
第一次投稿遇到了这样的情况求各位好心人指教
已经有52人回复
新手投稿求第一次遇到这个情况 请教各位大侠
已经有4人回复
合成化合物的氢谱积分比例不对但是单晶结构显示得到了该化合物,特向各位大神求助。
已经有16人回复
我该怎么回复呢?求求大家帮忙看看
已经有21人回复
跪求各位《2014经济理论与管理研究国际学术会议》这个会议真的假的???
已经有17人回复
新人求助大家如何才能找到外导的联系方式?
已经有5人回复
求教各位前辈,如何利用LOCPOT做求出真空能级?
已经有6人回复
求助大家帮我鉴定下,这个是不是骗子?非常感谢
已经有30人回复
投稿时老是说我的word有问题,请求大家来看看,这个该怎么改?谢谢
已经有30人回复
各位朋友,如何用matlab编写这个方程,并求解?
已经有15人回复
求助各位大牛,这个酯化反应(DCC/DMAP;CDI)
已经有14人回复
求大家帮忙分析下这个CV曲线吧
已经有10人回复
【求助】请问大家在做声子计算时,这个 qpt是按照什么设置的????
已经有9人回复
soliton923
铁杆木虫 (职业作家)
数学村村长
- 数学EPI: 1
- 应助: 36 (小学生)
- 贵宾: 0.565
- 金币: 4146.4
- 散金: 5275
- 红花: 72
- 沙发: 21
- 帖子: 3489
- 在线: 1501.2小时
- 虫号: 1005450
- 注册: 2010-04-25
- 性别: GG
- 专业: 数学物理

2楼2011-10-12 16:31:33
3楼2011-10-12 16:50:31
4楼2011-10-12 16:52:25













回复此楼